1 年
手机商铺
公司新闻/正文
15 人阅读发布时间:2025-12-16 10:52
人类蛋白图谱
HPA(Human Protein Atlas,人类蛋白图谱)是一项始于2003年的国际性项目,旨在通过整合多种技术,系统性绘制人类细胞、组织和器官中的所有蛋白质信息。为全球科学家们提供高质量、开放获取的数据资源。

作为精准医学研究的关键基础设施,HPA不仅系统呈现了蛋白质的空间分布与功能信息,其资源体系也深度服务于疾病机制解析、生物标志物发掘与药物靶点验证。历经二十余年持续建设,HPA已从静态数据库演进为持续迭代的“蛋白质导航系统”,通过在多维功能语境中整合蛋白质生物学信息,为生命科学前沿探索与临床转化研究提供关键驱动力。
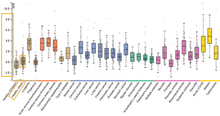
血液蛋白资源


💡 高标志物发现率的核心基础
随着多项技术的不断更新,生物标志物筛选与转化的核心逻辑正经历深刻变革:从单纯追求“越多越好”,转向强调靶向筛选、验证效率与临床相关性的“如何精准聚焦”。这一转变体现了研究范式的升级,标志着精准医学正从探索性发现阶段迈向更具转化价值的高效验证阶段。要想提高标志物的发现效率,以下核心基础必不可少:
正如在上一篇文章为何看不见的蛋白更有价值中所提,采用Olink Explore HT针对6,800份泛人群血浆样本所检测的数据表明,蛋白质的检出并非简单的“全或无”,而是存在“常见性观测蛋白”与“条件性存在蛋白”的不同类别。其中,条件性存在蛋白具有重要的“标志物潜力”。它们在健康人的循环血液中含量极低,往往低于检测限而难以捕捉,却在特定疾病人群中高表达。例如L1RE1,CEACAM5等蛋白质,在泛人群中检出率极低(8.5%和1.3%),在卵巢癌和结直肠癌队列中则呈现出超过77%的检出率,提示了其作为对应疾病诊断标志物的潜能。
在生物标志物研究中,标志物的价值不仅在于“检测到”,而更在于“不同表型下的检测差异”。而真正的生物学发现则依赖于所采用的技术平台能否准确捕捉并量化这种差异。
通过对比HPA资源中Olink Explore HT与其它技术在几个关键疾病相关蛋白上的表现,可以清晰地看到这种检测差异所带来的影响。
1. 关键炎症标志物IL6与TNF:
与适配体技术对比,Explore HT具有更宽的定量范围(如y轴所示),能够展示出显著且符合真实生物学变化逻辑的蛋白表达水平。

2. 疾病标志物NPPB与NEFL:
NPPB(BNP,B型利钠肽) 在维持心血管稳态中发挥关键调节作用,其血液浓度的显著升高通常提示心力衰竭或心肌损伤事件的发生。HPA血液资源显示,Explore HT 能够准确捕捉健康人群与冠状动脉疾病患者之间NPPB的表达差异,为心血管疾病的早期识别与分层管理提供了可靠的检测支持。
同样,在神经系统疾病研究中,神经丝轻链蛋白(NEFL)是反映轴突损伤的重要生物标志物。Explore HT 在 NEFL 的检测中也展现出与既有研究一致的表达差异模式,能够有效区分健康人群与肌萎缩性侧索硬化症患者,进一步印证了该平台在捕捉疾病相关蛋白动态变化方面的可靠性。


在标志物研究的转化路径中,正交验证是衔接“发现”与“应用”的关键,其严谨性关系到后续投入的时间与成本。
Olink Explore HT列表中的每一个蛋白均经过3阶段15步骤的严格验证,其中包括3轮独立的特异性验证,以保证从源头降低假阳性风险,保障标志物筛选的初始数据质量。该可靠性也在真实研究中得到了广泛证实,迄今已有超过180篇同行评议论文,采用Olink技术筛选并使用传统的ELISA方法对关键标志物进行独立验证,均得到了一致性极高的数据。也系统性证明了Olink在标志物发现中“结论可信”,“路径通畅”和“成本节约”的特点。

✨ 来自Mathias Uhlén 教授的分享
在今年10月8日的Olink全球蛋白组学峰会中(下方视频1),HPA Mathias Uhlén教授分享和公布了其团队发现的人类疾病蛋白图谱进展。
在问答环节中,Mathias教授特别指出,其团队早期研究已提出人体内约有700余种蛋白质会积极分泌并进入血液循环。值得关注的是,Olink Explore平台能全面覆盖并准确检测到这700余种分泌蛋白,体现出了其在血液蛋白质组覆盖上的完整与可靠性。
与此同时,该平台在真实样本中未检测到部分胞内蛋白,这与其在循环血液中丰度极低的生物学特征相匹配。值得一提的是,澳大利亚QIMR研究团队在高异质性的脓毒症患者队列中(下方视频2),利用Olink Explore HT平台检测到了绝大多数蛋白质(5327个),并发现了与临床检验结果非常吻合的蛋白表达。这意味着,在脓毒症等极端病理状态下,由于细胞损伤或死亡导致胞内蛋白大量释放入血,使通常“不可见”的蛋白得以被高效捕获。该现象符合“条件性存在蛋白”的特征——即某些蛋白仅在特定病理条件下才在血液中达到可检出的水平,进一步体现了Olink技术在动态捕捉疾病相关生物学过程中的灵敏性与可靠性。