1 年
手机商铺
公司新闻/正文
64 人阅读发布时间:2025-11-20 16:00
研究背景
血浆蛋白质组学——旨在大规模研究血液中所有蛋白质,正迎来技术驱动的复兴浪潮。近年来,随着高通量检测技术的突破,尤其是基于亲和原理的蛋白质组学平台的成熟,研究者能够在更大规模、更高通量的条件下精准挖掘与疾病相关的生物标志物。如英国生物样本库(UK Biobank)等大型队列采用Olink PEA技术进行大规模人群的蛋白组学系统性研究。
Olink Reveal是Olink公司于今年初推出的新产品,兼具高性能、易操作和广泛适用性三大特点。该平台精选1,034种蛋白质,全面覆盖多种关键生物学通路,并特别突出了对炎症/免疫相关蛋白的检测。

Olink Reveal蛋白质库内容
荷兰莱顿大学医学中心蛋白质组学与代谢组学中心的学者们认为,任何新型蛋白质组学平台在投入正式生物标志物研究前,都应对其分析性能,包括准确性、精密度和线性范围等关键指标进行系统严格的验证。基于这一原则,该团队对Olink Reveal平台展开了性能评估,结果发表于《Journal of Proteome Research》。研究数据已通过PRIDE数据库公开(标识符:PAD000009),为生物信息学工具开发和多组学数据整合提供了有价值的基准数据标杆。

研究以“标准添加法”为核心,进行了精妙且严谨的设计:
标准基质选择:选用美国国家标准与技术研究院(NIST) SRM 1950标准人血浆(源自100名健康志愿者),成分明确,能模拟真实样本的复杂背景。
加标蛋白与浓度设计:选择了两种具有临床相关性的重组蛋白。
IL-10(白细胞介素-10):一种低丰度的抗炎细胞因子,基底浓度约5 pg/mL;
VEGF-D(血管内皮生长因子):一种较高丰度的血管生成蛋白,基底浓度约972 pg/mL。
将两种蛋白以文献报道基底浓度的20%、100%和500%三个水平添加至标准血浆中,并设置未加标样本作为空白对照,以此系统评估平台在不同浓度区间的检测性能。
检测与分析设计:每个样本设置5个技术重复,并采用块随机化的方式分布在两个检测板中,以有效控制板间和批次误差。整个实验过程实施操作人员设盲原则。使用Olink Reveal平台进行标准化检测,生成归一化蛋白表达量(NPX)数据,并对数据性能进行全面评估(线性,精密度和准确性)。

试验设计
评估结果
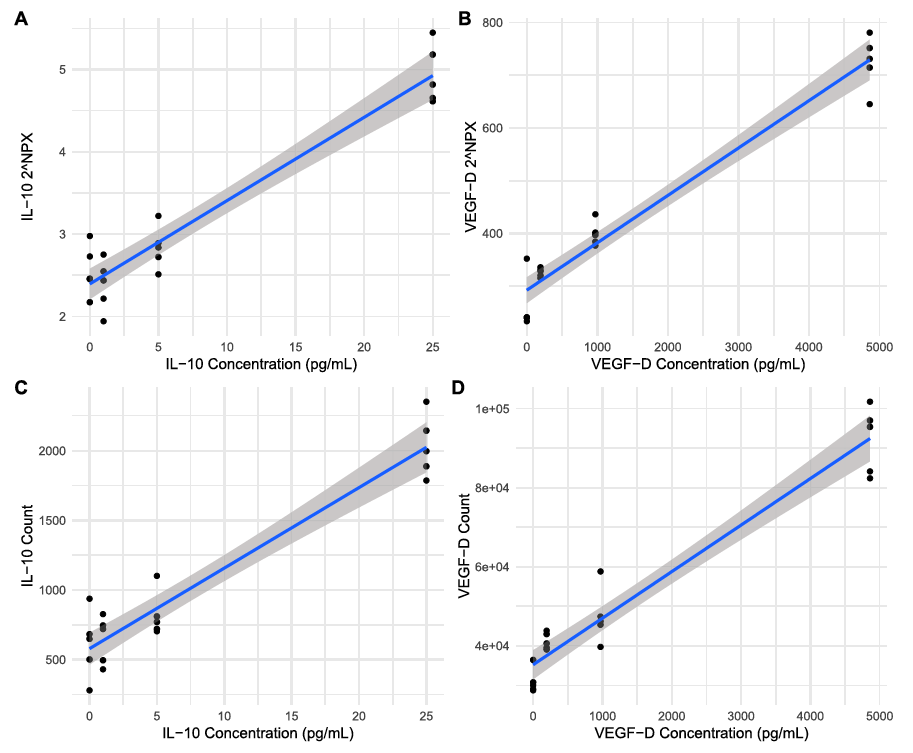
如下图所示,IL-10和VEGF-D的NPX值与加标浓度均呈现出极强的线性关系,R²分别为0.922和0.953,证明了该平台在宽浓度范围下的可靠定量能力。
值得关注的是,对于VEGF-D,即使是在最低加标浓度(仅比基底浓度高~6.5%)的情况下,依然能够检测到显著的差异,证明了该平台的高灵敏度。

线性范围
研究团队通过加标曲线反推计算了SRM 1950标准血浆中两种目标蛋白的基底浓度。计算结果显示,IL-10的浓度为10.0 ± 3.0 pg/mL,与文献报道的5-6 pg/mL范围基本吻合;而VEGF-D的浓度估算值为2986 ± 577 pg/mL。尽管该估值显著高于文献报告的972 pg/mL,但可能是由于不同测量方法的特异性不同导致结果偏差,以及文献报告值的变异范围较大所导致。尽管存在数值差异,这一结果依然证明了Olink Reveal平台具备定量评估未知样本浓度的能力。
研究中的所有样本均通过了质控标准,且实验全程未出现技术故障或数据异常情况。这表明采用Olink Reveal 平台在蛋白质组学检测中具有卓越的技术精密度和操作稳健性。值得关注的是,即使是在首次使用该平台的实验室环境中,研究人员也能获得高度一致且可靠的数据输出,体现了该技术体系的成熟度和用户友好性。
Olink Reveal中涵盖的1,034种蛋白质靶标经过通路导向策略精心筛选,尽管可以覆盖主要的生物学通路,但产品设计了537种与免疫系统相关的蛋白质(超过半数),目的是能够使关注免疫和炎症的研究人员获得全面的视角。在采用该产品进行通路富集分析时,应该考虑这一因素,避免得到非真实的免疫通路富集结论。
研究还特别强调了样本前处理标准化的重要性。多项研究表明,溶血现象和反复冻融循环会显著影响蛋白质检测结果的准确性。因此,应建立严格的标准化样本采集和储存流程,包括:
规范化的血液采集和处理时间窗口
统一的离心条件和分装标准
明确规定的冻存温度和冻融次数限制
建立样本质量评估指标(如溶血指数测定)
尽管该研究未涉及颠覆性的生物学发现,却为蛋白质组学研究社区贡献了首批高质量、“真实值”的公开数据,为蛋白组学技术标准化研究建立了参考。这些数据对于开发生物信息学软件、建立数据分析流程、以及进行多组学数据整合的研究者来说也是无价的资源。
Olink Reveal在该研究中展现出了:
✅ 优异的检测线性
✅ 灵敏的浓度变化识别能力
✅ 稳定的技术重复性
✅ 良好的操作稳健性
Olink Reveal平台已证明其具备支撑大规模人群蛋白质组研究的核心能力。该技术表现出的高精密度和操作稳定性,使其特别符合向临床转化应用所需要的严格的技术规范。期待Olink技术持续助力蛋白组学的标准化进程,为疾病机制研究、生物标志物发现和精准医疗实践提供坚实的技术支撑。
1. Yuri E. M. van der Burgt; Emile de Meijer; Magnus Palmblad (2025). Brief Evaluation of Olink Reveal Proximity Extension Assay for HighThroughput Proteomics: A Case Study Using NIST SRM 1950 and Two Spike-In Protein Standards, Journal of Proteome Research