1 年
手机商铺
公司新闻/正文
93 人阅读发布时间:2025-11-11 15:17
作为蛋白质组学领域的创新者,Olink始终致力于推动技术边界,让高质量蛋白组学研究变得更加可靠、简易和可及。我们坚信,技术的进步应服务于更广泛的研究者,并努力扩展平台兼容性,降低应用门槛。
近日,Olink与华大智造联合完成了Olink Reveal高通量蛋白质组检测产品在DNBSEQ-T1+及DNBSEQ-2000测序平台上的系列验证实验!并依托Olink的认证服务商(CSP)联川生物,完成了全球首次真实样本的验证测试。

Olink Reveal是一款创新的靶向蛋白质组学产品,其核心亮点在于将专有的邻位延伸分析(PEA)技术与新一代测序(NGS)深度结合,可对超过1,000多种蛋白质进行超灵敏定量分析。该方案仅需极微量样本(4μL血清/血浆),灵敏度极高(检测下限达fg/mL级别),并能有效区分同源蛋白。在保持Olink一贯的灵敏可靠的特点下,Reveal的实验流程经过优化,关键试剂预包被于96孔板中,显著简化了操作步骤,有利于大规模蛋白组学研究的高效开展。以其“强大”、“简易”和“可及”的优势,解锁基因蛋白组学的力量。它在生物标志物发现、疾病机制研究和精准医疗领域具有广泛应用价值。
为了确保平台的兼容性,Olink与华大智造合作开展了一系列严格验证实验。实验采用多轮技术重复,对比了不同测序平台的数据产出。NPX(Normalized Protein eXpression)是Olink PEA技术中用于表示蛋白相对表达水平的单位,能够灵敏地反应蛋白质浓度的相对变化。
结果显示,华大智造T1+测序平台产出的NPX值与Olink已验证平台的结果之间具有极高相关性(R2=0.987),不同数据间具有高度一致性(R2=0.999),证明了该平台产出数据的稳定性和可靠性。

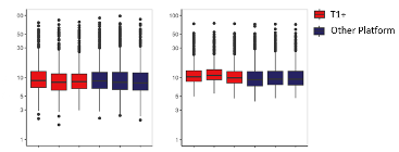
左图:T1+平台与其他验证平台的NPX相关性对比;右图:T1+平行测序间NPX相关性对比
此外,对检测结果的CV值分析表明,华大智造T1+平台的CV值与已验证平台处于相同水平,确保了数据的精确度。上述实验在华大智造2000平台上也呈现了相似的表现,表明两款测序平台都可以产出符合预期的数据,进一步扩展了用户的应用场景。

T1+平台与验证平台产出检测结果CV值对比
基于前述验证流程,杭州联川生物首次使用真实样本的Olink Reveal文库在T1+平台完成了首次测序运行,并与其他已验证平台进行了平行对比。结果表明,T1+平台产出数据的各项指标符合Olink流程中的质控标准,并于其它平台的结果高度一致,符合实验预期。
通过此次合作,Olink进一步扩展了平台兼容性,为用户提供了更多元、更经济的选择。华大智造测序平台的出色性能,结合Olink Reveal的强大,简易和可及的蛋白组学方案,有望进一步加速精准医疗和生物标志物发现的进程。我们相信,这一联合解决方案将降低研究门槛,让更多团队轻松开展高质量蛋白组学项目。