1 年
手机商铺
公司新闻/正文
196 人阅读发布时间:2025-08-21 10:31
研究背景
蛋白在人类健康中起着关键作用,大多数药物都以蛋白为靶点。测量血浆中的蛋白水平,尤其是结合遗传和表型信息,有助于理解生物机制、疾病病因、改善疾病风险预测,并评估特定疾病的新蛋白靶点。高通量蛋白组学技术的发展使得同时测量数千种血浆蛋白成为可能。这些技术包括基于质谱的方法和基于亲和力的方法,如基于双抗体同时捕获的Olink平台和基于核酸适配体Aptamer检测的SomaScan平台。

新文速递

中国慢性病前瞻性研究样本库China Kadoorie Biobank (CKB)陈铮鸣教授研究团队,近期在Nature Communication杂志上发表新研究结果:研究团队采用了基于双抗体捕获的Olink Explore和基于核酸适配体的SomaScan两大蛋白组学平台,分析了2,168种血浆蛋白在中国近4,000名成年人中的表现;进而从蛋白水平相关性、遗传关联(pQTL)和表型关联等技术性能上的差异,来研究两种平台在疾病风险预测和精准医学研究方向的应用价值。
CKB队列中的3,976名中国成年人被纳入研究,其中包括1951名新发冠心病(IHD)患者和2025名对照组个体。使用Olink Explore 3072平台(2923个试剂对应2923个UniProt ID)和SomaScan Assay v4.1平台(7301个SOMAmers,对应6397个UniProt ID)分别测量血浆蛋白表达水平。通过Spearman相关性分析比较两个平台测量的蛋白水平,进行全基因组关联研究(GWAS)以识别pQTLs,并评估蛋白质与BMI和缺血性心脏病风险的关联。

研究解读
两个平台测量的蛋白水平相关性中等,中位数Spearman相关系数仅0.29,但高丰度蛋白(稀释因子<10%)相关性提升至0.6,表明技术差异可能受蛋白丰度影响。在1,694种一对一匹配蛋白中,Olink的观测相关性中位数(0.26)略高于SomaScan(未明确,但整体趋势更优)。Olink平台在测量蛋白水平时显示出更高的准确度,可能与其使用双抗体结合单一靶标蛋白的PEA检测方法有关。这种方法可能减少了非特异性结合和交叉反应的可能性,从而提高了测量的准确度。
● 遗传关联 (pQTL)
对于1,694种一对一匹配的蛋白,Olink有765种蛋白有cis-pQTLs(占45.2%),SomaScan有仅有513种(占30.3%),其中400种在两个平台之间有共定位的cis-pQTLs。结果表明Olink平台可能更敏感地检测到蛋白水平与遗传变异之间的关联,并可有助于更深入地理解蛋白质的遗传调控机制。而种族特异性研究发现,如ALDH2、PLA2G7和PCSK9的cis-pQTL在东亚人群中显著,但未在欧洲人群中发现,这也进一步强调了人群遗传异质性对蛋白质定量研究的影响。

● 疾病表型关联
蛋白组学数据与肥胖(BMI)及缺血性心脏病(IHD)的关联研究发现:SomaScan检测到更多BMI关联蛋白(1429 vs 1096),但Olink在859个共享关联蛋白中表现出更高效应值一致性(r=0.75);Olink发现更多缺血性心脏病(IHD)关联蛋白(279 vs 154),且在78个共享关联蛋白的效应值相关性更高(r=0.78)。

● 疾病风险预测模型性能
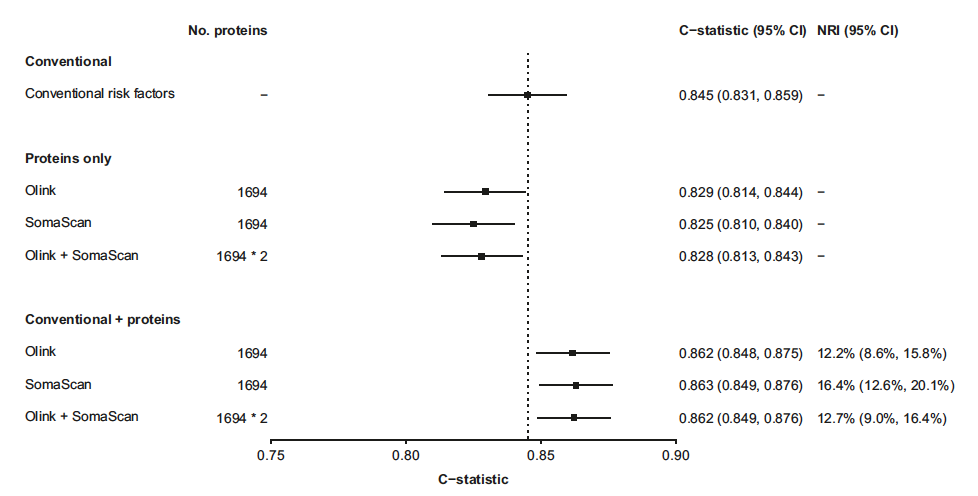
基于1,694种一对一匹配蛋白构建IHD风险预测模型,Olink(C=0.829)与SomaScan(C=0.825)性能相近但略低于传统风险模型(C=0.845)。添加蛋白组学后传统模型C值提升至0.862(Olink)和0.863(SomaScan),显示蛋白数据的加入显著提升了IHD风险预测准确性,并且两平台在风险预测中提升幅度相似,NRI分别为12.2和16.4%,总的来说,整合蛋白质组学可优化IHD风险评估。而Olink在特定蛋白,如GHR和WFDC2的预测中表现更一致,可能因其双抗体技术对蛋白质结构的特异性识别更优。

只有在测量准确的情况下,蛋白数量才有意义。如何避免假阳性,准确反映真实世界,方是选择高通量蛋白组学平台的首要因素。
1. Baihan Wang, et. al. Comparative studies of 2168 plasma proteins measured by two affinity-based platforms in 4000 Chinese adults. Nature Communications. volume 16, 1869 (2025)
Olink Proteomics
Part of Thermo Fisher Scientific