1 年
手机商铺
公司新闻/正文
191 人阅读发布时间:2025-08-11 11:26
研究背景
神经发育障碍(NDDs)在儿童群体中并不罕见,如自闭症谱系障碍(ASD)和注意力缺陷多动障碍(ADHD),全球患病率高达16.2%-21.5%。这些疾病不仅影响儿童的认知和行为功能,还给家庭和社会带来沉重负担。以往研究表明,遗传因素是 NDDs 的一个重要风险因素,但越来越多的证据显示,孕期环境因素(如母体炎症)可能通过免疫激活影响胎儿大脑发育,如孕期母亲IL-6和MCP-1水平升高,孩子患自闭症的风险会增加。而这些研究多局限于单一或者少数几种炎症蛋白的分析,难以全面揭示炎症蛋白在胎儿大脑发育中的作用。
新文速递

COPSAC2010:哥本哈根儿童期哮喘前瞻性研究2010出生队列,研究对象为700对深度表型化的母子,旨在减少哮喘、湿疹和过敏。
COPSYCH:哥本哈根神经精神发展前瞻性研究是一项为期10年的随访队列研究,基于COPSAC2010,对10岁儿童进行了广泛的神经过度和认知评估,研究时间为2019年1月至2021年12月。
本项目最终纳入了 555 对母婴数据进行分析,研究人员收集了孕妇孕24周时的血浆样本,用Olink Inflammation Panel检测92种炎症蛋白水平,在孩子10岁时(2019 年 1 月至 2021 年 12 月),评估他们是否患有 NDDs 以及执行功能(EF)情况。研究的排除标准包括出生体重低于1500克、胎龄不足28周以及双胞胎B(第二个双胞胎)的情况。该研究的主要结局是神经发育障碍,包括分类诊断和维度心理病理测量,其中分类NDD诊断为主要结局,次要结局是执行功能(EF)。研究还调整了母亲年龄、BMI、吸烟和遗传风险评分等混杂因素,确保结果可靠性。
研究解读
PCA分析显示,主成分1(PC1)(代表整体炎症水平升高)与任何NDDs风险增加49%相关(OR=1.49),尤其是自闭症(OR=2.76)和ADHD注意力不集中型(OR=1.57)。


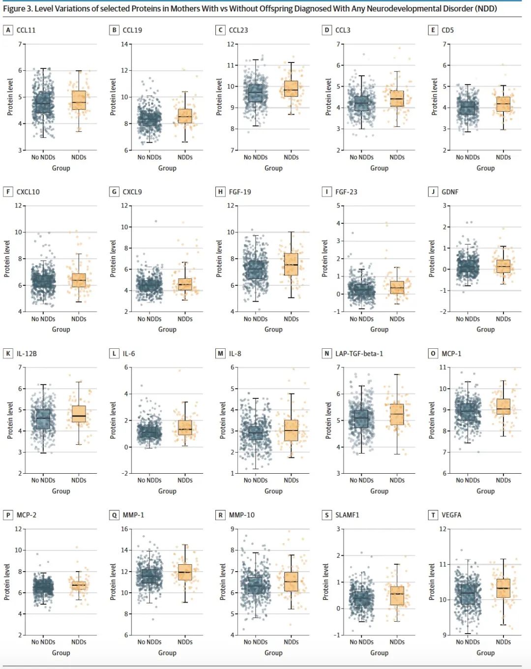
研究人员又进一步在子代确诊NDD与未确诊NDD的母亲中分析蛋白水平差异,发现了20种FDR显著的NDD诊断相关蛋白标志物,这些蛋白按任何具有生物学解释的NDDs进行分组。


写在最后
该项研究首次全面分析了孕期 24 周母体炎症蛋白与孩子10岁时NDDs和EF的关系,发现母体炎症蛋白谱与孩子患 NDDs 的风险增加有关,尤其是 VEGFA、CD5、IL-12B、CCL3、FGF-23 和 MCP-1 等关键蛋白,为后续研究孕期炎症影响胎儿神经发育的具体机制指明了方向,也为开发针对性的预防策略提供了潜在靶点。不过,研究也存在一些局限性。比如,只在孕期一个时间点评估了母体炎症蛋白,样本主要是白人,平均教育水平较高,可能影响研究结果的普遍性。
总体而言,这项研究为我们理解孕期母体炎症与孩子神经发育障碍之间的关系提供了新视角。未来,我们期待能有更多研究进一步明确这些关联背后的机制,找到更有效的预防和干预方法,守护孩子们的健康成长。
参考文章