3 年
手机商铺
技术资料/正文
152 人阅读发布时间:2025-01-15 12:57

论文上线截图
类风湿性关节炎(RA)是一种以炎症性滑膜炎为特征的慢性系统性自身免疫疾病。它以手和足的小关节的对称性和侵袭性关节炎症为特征,并且可能导致关节畸形和功能丧失。RA的发病机制尚不完全清楚,可能与遗传、感染、性激素等因素有关。RA是一种复发性疾病,致残率高,预后不良。在先前的研究中,作者发现双环共轭烯酮结构具有抗类风湿性关节炎活性,并且能够在体外有效抑制大鼠滑膜细胞的增殖,同时在体内展现出良好的抗炎活性。在此,作者进一步修改了这种结构,即一种新型的双环共轭烯酮,以研究其抗类风湿性关节炎活性。结果显示,最有效的化合物32能够在体外有效抑制大鼠滑膜细胞的增殖,并且与阳性对照药物甲氨蝶呤相比,具有更好的抗炎活性,并通过体内活性评估得到了证实。作者的结果为开发高效小分子治疗RA提供了一个有望的起点。

1.设计与合成
双环共轭烯酮已被证实具有良好的抗风湿性关节炎活性,其中先导化合物1在体外和体内表现出最佳性能(图1)。然而,化合物1的抗风湿性关节炎活性评估结果显示,其活性并不优于阳性对照药物甲氨蝶呤。因此,需要进一步的结构优化以获得理想的目标化合物。在本研究中,作者以化合物1为先导化合物,设计了16个具有双环共轭烯酮结构的目标化合物(图2)。在设计目标化合物结构的过程中,作者保留了双环共轭烯酮结构,以最大程度地保持其抗风湿性关节炎活性。同时,引入吸电子基团和供电子基团到六元环的4位,以改变其抗风湿性关节炎活性,以便进一步研究其SAR。
在目标化合物的合成过程中,作者使用乙基丙二酸(化合物3)作为起始材料,通过四步反应:羰基保护、缩合、水解和环化,来制备目标化合物(方案1)。目标化合物21-36的结构通过1H NMR、13C NMR、HR-ESI-MS和元素分析得到确认,并确认目标化合物具有R构型。合成路线具有温和的反应条件、简单的操作、廉价的原料和高的总收率。合成路线可以为小规模或中试规模实验提供实验依据,并具有小规模生产潜力。

图1. 双环共轭烯酮的化学结构

图2. 目标化合物的化学结构设计
2. 体外抗风湿性关节炎的活性
基于先前活性研究,作者发现双环共轭烯酮(化合物1和化合物2)具有抗风湿性关节炎活性,并有潜力用于这种疾病的治疗。先前研究中获得的候选化合物的活性并不优于阳性对照,这限制了双环共轭烯酮的进一步研究和开发。在本研究中,化合物1被用作先导化合物,基于生物电子等排和其他药物设计原则设计了16个双环共轭烯酮。通过半抑制浓度测试(IC50)、细胞形态、LDH释放测试和TLR4抑制测试评估了体外抗风湿性关节炎活性(图3)。观察结果表明,与正常组相比,DMSO组中滑膜细胞的形态没有异常,而甲氨蝶呤组中的滑膜细胞受到显著损伤,细胞的折射率显著降低,细胞质变得狭窄和萎缩,成纤维细胞显著减少,一些细胞破裂,细胞碎片增加。化合物23、24、28、32和36组对滑膜细胞损伤表现出显著的浓度依赖性。形态结果表明,细胞的折射率不同程度地降低,细胞质变得狭窄和萎缩,成纤维细胞显著减少,一些细胞破裂,细胞碎片增加。其中,化合物24和32的效果最为显著。大鼠滑膜细胞抑制率的结果表明,设计和合成的化合物具有良好的抑制活性。结合体外抗风湿性关节炎活性测试的结果,作者获得了一些双环共轭烯酮的结构-活性关系(SAR)。

图3. 大鼠滑膜细胞的体外形态学
3.抗风湿性关节炎的体内活性
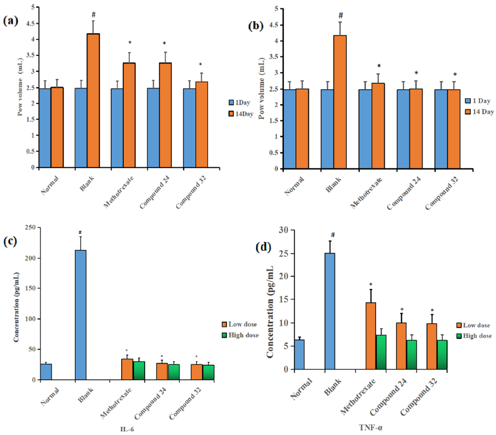
体内活性评估是药物化学研究中的重要内容。本研究中合成的所有目标化合物在体外均显示出对风湿性关节炎的良好活性。化合物24和32被选为进一步研究它们体内抗风湿性关节炎活性的对象,使用完全弗氏佐剂(CFA)诱导的大鼠关节炎作为动物模型进行评估。在这次活性评估中,首先测量了治疗前后的爪子体积变化。最后,测量了治疗后大鼠血清中炎症细胞因子IL-6和TNF-α的水平(图4和图5),结果表明,目标化合物24和化合物32在体内能够发挥良好的消肿效果,化合物组能够有效抑制炎症因子IL-6和TNF-α的效果。抗风湿性关节炎活性评估的结果表明,化合物24和32能够有效抑制大鼠的爪子肿胀。同时,它们能够有效抑制炎症因子IL-6和TNF-α的含量,在体内发挥良好的抗炎效果。

图4. 体内抗类风湿关节炎活性

图5. 测定大鼠滑膜细胞中炎症因子TNF-α、IL-1β和IL-6的含量
4.抗风湿性关节炎的作用机制
药物作用机制是一种解释药物为何或如何起效的理论,它是药效学研究的重要内容。研究药物作用机制有助于理解和掌握药物的效果,并指导临床上合理用药。TLR4/NF-κB信号通路是炎症反应和凋亡的重要通路,在RA、脑缺血、肿瘤等疾病的发生和发展中起着关键作用。NF-κB是炎症反应中的关键转录因子。为了探究目标化合物的抗风湿性关节炎机制,作者选择了化合物32进行了相关测试,包括测定大鼠滑膜细胞上清液中的炎症因子TNF-α、IL-1β和IL-6。测量了大鼠滑膜细胞中与TLR4/NF-κB信号通路相关的蛋白TLR4、MyD88、NF-κB和IκB的表达水平(图5-图6)。结果表明化合物32能够显著抑制LPS诱导的滑膜细胞中TNF-α、IL-1β和IL-6的增加(图5),并有效调节TLR4/NF-κB信号通路相关蛋白TLR4、MyD88、NF-κB和IκB的表达水平(图6)。总之,化合物32能够有效抑制LPS诱导的大鼠滑膜细胞中TNF-α、IL-1β和IL-6的异常增加,并调节TLR4/NF-κB信号通路相关蛋白TLR4、MyD88、NF-κB和IκB的表达。这可能是改善患有风湿性关节炎的大鼠滑膜细胞异常增殖和促进炎症及凋亡的重要分子机制。

图6. TLR4/NF-κB信号通路相关蛋白的表达
5. 分子对接研究
使用AutoDock 4.2建模软件研究了TLR4-MD2(PDB ID:3FXI,图7a)受体的分子对接。使用Pymol 2.1处理对接结果以获得分子嵌合体,并分析了氢键和结合袋的位置。结果显示化合物32与TLR4-MD2受体结合,并能够进入由ASN 114、VAL 113和ARG 106形成的活性口袋。同时,化合物32也能与残基ASN 114和ARG 106形成氢键,增强其与TLR4-MD2受体的结合能力(图7b)。化合物32与TLR4-MD2受体之间的最低结合自由能为−6.8 kcal/mol。为了研究化合物32和24之间的差异,作者对化合物24(图7c)进行了分子对接模拟。其对接结果显示化合物24与TLR4受体之间的氢键非常小,但空位适合进入其口袋,这可能是其良好活性的原因。

图7. TLR4-MD2与化合物32的结合模式
结论
在这项研究中,作者描述了新型6,7,8,8a-四氢萘-1,3(2H,5H)-二酮的合成,并评估了衍生物的抗风湿性关节炎活性。这项研究的目的是进一步优化先导化合物的结构,并获得RA治疗的最佳目标化合物。通过比较衍生物的抗风湿性关节炎生物活性来研究结构-活性关系(SAR),在此基础上,通过分子对接模拟进一步研究了目标化合物与受体TLR4的结合构象。
在该研究中,研究人员使用了赛昂斯足趾容积测量仪(SANS,型号SA701)来进行实验操作。
