His-Tag蛋白纯化原理、步骤及常见问题
2080 人阅读发布时间:2021-08-13 10:22
his-tag优势:
❄ His-Tag非常小,对蛋白的下游应用无影响
❄ N-端的His-Tag与细菌的转录翻译机制兼容,有利于蛋白表达
❄ 采用IMAC(固定化金属离子亲合层析)纯化His-Tag融合蛋白操作更加简便
❄ His-Tag对目的蛋白本身特性几乎没有影响,不会形成二聚体
❄ His-Tag的免疫原性相对较低,可将纯化的蛋白直接注射入动物体内进行免疫并制备抗体
❄ 与其它亲和标签构建成双亲和标签,并可应用于多种表达系统
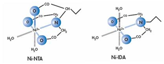
His-Tag蛋白纯化原理:组氨酸(His)的残基上带有1个咪唑基团,可以和Ni2+、Co2+等过渡金属离子形成配位键而选择性的结合在金属离子上,这些金属离子能够用鳌合配体固定在层析介质上,因此带有his标签的蛋白在经过装配了金属离子的层析介质时可以选择性的结合在介质上,而其他的杂质蛋白则不能结合或仅能微弱结合。结合在介质上的His标签蛋白可以通过提高缓冲液中的咪唑浓度进行竞争性洗脱,从而得到较高纯度的His标签蛋白。
Ni2+在亲和纯化实验中的使用最为广泛。根据结合基团的不同,Ni2+亲和层析柱可分为Ni-IDA和Ni-NTA。NTA的颗粒粒度均匀,粒径更小,并且螯合镍更稳定,能耐受较高的还原剂,使填料更加稳定,镍离子不易脱落,因此选择Ni-NTA亲和层析柱进行蛋白纯化。
