普健生物(武汉)科技有限公司品牌商

13

手机商铺

qrcode
商家活跃:
产品热度:
  • NaN
  • 0
  • 0
  • 2
  • 2
品牌商

普健生物(武汉)科技有限公司

入驻年限:13

  • 联系人:

    程经理

  • 所在地区:

    湖北 武汉市

  • 业务范围:

    技术服务、细胞库 / 细胞培养、试剂、原辅料包材、抗体

  • 经营模式:

    生产厂商

在线沟通

技术资料/正文

Biacore分子间相互作用在科研中的应用最全汇总

1057 人阅读发布时间:2021-08-12 09:31

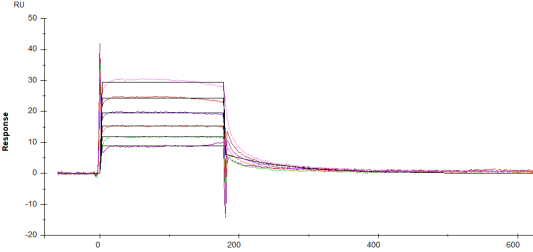
    Biacore是基于表面等离子体共振(SPR)技术来实时跟踪生物分子间的相互作用,而不用任何标记物的技术,是被公认的检测分子互作的金标准
    表面等离子体子共振( surface plasmon resonance , SPR) 是一种物理光学现象。在发生全反射的界面涂上一薄层金膜(或其它金属膜)约50nm厚。一束P偏振光在一定的角度范围内入射到棱镜端面,在棱镜与金属薄膜(Au或Ag)的界面将产生表面等离子波。当入射光波的传播常数与表面等离子波的传播常数相匹配时,引起金属膜内自由电子产生共振,即表面等离子体共振。
  Biacore分子间相互作用在科研中的应用最全汇总
    分析时,先将配体(抗体、蛋白等分子)偶联再芯片表面,然后将待测样品(分析物)流过芯片表面,若样品中有能够与芯片表面的生物分子相互作用的分子,会引起金膜表面折射率变化,最终导致SPR角变化,通过监测SPR的角度变化,获得被分析物的浓度、亲和力、动力学常数和特异性等,如下图所示实时监测的生物分子动态结合和解离的过程
Biacore分子间相互作用在科研中的应用最全汇总

   Biacore系统广泛应用于蛋白-蛋白、蛋白-小肽、蛋白-DNA,蛋白-药物、小肽-噬菌体、SPR-MS各种生物分子之间相互作用。其应用领域包含生命科学、食品安全、环境检测、生物医学、毒素和抗生素快速检测、蛋白质组学、药物筛选及相关药物动力学实时检测、生物分子特殊肽段及相关偶合分子的检测、病毒及致病分子/蛋白及受体研究分子识别免疫调节免疫测定等,尤其适于在高校、科研院所进行科学研究及教学实验使用
本文将带领读者走进Biacore系统生物分子相互作用的应用探索之旅。
1. 动力学常熟的测定
   传统用于鉴定生物大分子间相互作用的技术有WB、Elisa、Co-IP、ChIP、EMSA、FRET、酵母双杂交等。 具体实验中这些技术常因目的蛋白表达量低、抗体灵敏度低等原因而检测不出目的条带,或者因为抗体的特异性不好,而无法判断抗体是否与目的蛋白有结合,同时也极易出现假阳性或者假阴性的结果。
Biacore分子间相互作用在科研中的应用最全汇总

     Biacore通过实时监测结合在芯片表面分子质量的变化,可以得到两个分子之间的结合与解离常数,直观反应生物大分子之间的亲和力。由于检测的是芯片表面质量的变化,所以大分子的相互结合容易得到较强的信号。Biacore可以用来分析不同抗体与抗原、蛋白与小分子的结合与解离常数,相对与以前其它检测抗体效价的方法,Biacore不仅快速,可以准确定量,还能反应整个结合和解离的动态过程。
Biacore分子间相互作用在科研中的应用最全汇总Biacore分子间相互作用在科研中的应用最全汇总


2. 蛋白构效与生理功能调控的研究
    Hirano等利用Biacore技术分析得出,SLR1 G576V位点突变导致其与GID1结合的解离速度加快,SLR1-GID1稳定性下降,SLR1自发性降解减弱,SLR1蛋白抑制GA信号传导,从而出现水稻矮化表型。Magulies等利用Biacore技术研究MHC、TCR与多肽抗原三者的相互作用。他们在测定了三者相互作用的亲和常数及动力学参数后提出一个相当有说服力的生物学模型:即T细胞的激活依赖于抗原递呈细胞表面大量的抗原多肽-MHC复合物对单个T细胞表面大量TCR的刺激。
Biacore分子间相互作用在科研中的应用最全汇总

3. 疾病标志物的诊断

    对于疾病研究,生物标志物一般是指可供客观测定和评价的一个普通生理或病理或治疗过程中的某种特征性的生化指标,通过对它的测定可以获知机体当前所处的生物学过程中的进程。 检查一种疾病特异性的生物标志物,对于疾病的鉴定、早期诊断及预防、治疗过程中的监控可能起到帮助作用。目前常用于标志物诊断的方法有分子诊断、免疫分析、生化酶法等。
传统的检测方法其诊断试剂的开发往往存在活性低、稳定性差、灵敏度低等方面的问题,利用Biacore技术建立全新的诊断体系无疑是一个创新性的选择。通过标志物标准品建立标准曲线,从而测定样品中标志物浓度,可达到灵敏度高、稳定等效果。
Biacore分子间相互作用在科研中的应用最全汇总



 
资料格式:

Biacore分子间相互作用在科研中的应用最全汇总.pdf

查看详细文档

上一篇

乙酰化修饰|多样化的功能,多样化的应用

下一篇

微管蛋白去酪氨酸化,意义非凡

我的询价