相关产品推荐更多 >
万千商家帮你免费找货
0 人在求购买到急需产品
- 详细信息
- 技术资料
- 库存:
33
- 英文名:
neomangiferin
- CAS号:
64809-67-2
- 保质期:
详见说明书
- 供应商:
上海一研
- 保存条件:
低温冷藏
- 规格:
20mg/50mg/1g
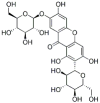
产品名称 64809-67-2新芒果苷说明书
英文名称 neomangiferin
分 子 量: 584.48
CAS NO.: 64809-67-2
纯 度: ≥98%
分子式: C25H28O16
性状: 淡黄色粉末
规格: 20mg/50mg/1g,可按客户需求包装!
用途: 用于科研研究、鉴定、药理实验等
熔点:
溶解性: 可溶于甲醇、乙醇、DMSO等有机溶剂;
提取来源: 芒果叶,知母
药理药效: 新芒果苷具有抗氧化,保护肾脏损伤的作用
鉴别方法: NMR;Ms
检测方法: RP-HPLC:甲醇-0.1%磷酸溶液(25∶75),λ:316nm(仅供参考)
贮存条件: 低温冷藏,避光,密封,干燥
注意事项:
有效期限: 2年
供货能力: 现货,可根据可以客户需求批量定制
标准品或对照品的管理规范:
1.规范购入使用台账,严格表明购入时间、批号、来源、数量、使用期限等内容;申购的标准品或对照品的批号要与新颁布标准品或对照品批号相符;
2.严格按照规定条件进行储存,标准品或对照品的状极不稳定,对储存条件和方式非常苛刻;
3.规范管理和使用:
(1)严格按照说明书要求,由于标准品或对照品的不稳定性,若不安产品说明书的要求操作,极易造成较大的误差,从而影响检测结果;
(2)称量精密准确,标准品和对照品的含量测定要求不同,对精密性的要求很高;
(3)对于长期贮存的制备品,应充分考虑各方面的影响因素,规范操作;
(4)同时配制两份对照溶液以控制检验误差,由于现在药品的标准含量测定方法较多采用对照比较法,在测定过程中,仅配制一份对照溶液容易造成因配制对照溶液过程出现偏差;
(5)自行标定的标准品或对照品,严格规范操作,保证标准的可靠传递,并保证其可溯源性和准确性。
产品优势:
价格实惠,我们是有多年销售经验的生物试剂公司,对于同行业的市场,具有独到的判断力,欢迎广大客户与我司取得联系,并询问实时报价;
保质保量,我司严格按照国家关于标准品、对照品的标准和要求进行,操作规范,检测严格;
种类齐全,有植物标准品(对照品)、中药标准品(对照品)以及其他标准品,更多信息可以与我司销售客服联系;
服务周到,我们对售前和售后进行全程跟踪,如遇什么问题,我们都会尽力帮您解决。
以下是 64809-67-2新芒果苷说明书的相关产品:
Catechu儿茶LAMP鉴定试剂盒 质量规格:>99%,USP33,BR,可用于细胞培养 37091-65-9
Rhizoma pinelliae preparatum法半夏LAMP鉴定试剂盒 质量规格:HPLC>98%,标准品 30562-34-6
Folium sennae 番泻叶LAMP鉴定试剂盒 质量规格:>98.5%,BR 88899-55-2
Radix saposhnikoviae防风LAMP鉴定试剂盒 质量规格:HPLC>98%,标准品 170787-99-2
Radix stephaniae tetrandrae防已LAMP鉴定试剂盒 质量规格:>98.5%,BR 68302-57-8
芦竹根规格:96T/48T试剂盒组装/原装
青皮规格:96T/48T试剂盒组装/原装
白附子(独角莲)规格:96T/48T试剂盒组装/原装
重楼(云南重楼)规格:96T/48T试剂盒组装/原装
桑椹规格:96T/48T试剂盒组装/原装
粉萆薢规格:96T/48T试剂盒组装/原装
银杏叶规格:96T\48T试剂盒组装/原装
紫荆皮规格:96T/48T试剂盒组装/原装
翻白草规格:96T/48T试剂盒组装/原装
巴戟天 规格:96T/48T试剂盒组装/原装
马钱子规格:96T/48T试剂盒组装/原装
橘红规格:96T/48T试剂盒组装/原装
百蕊草规格:96T/48T试剂盒组装/原装
地锦草规格:96T/48T试剂盒组装/原装
苍耳子规格:96T/48T试剂盒组装/原装
64809-67-2新芒果苷说明书人促有丝分裂因子(MF/MPF)Elisa Kit(学发光免疫分析法) Neoandrographolide 1g
人促胰液素/胰泌素(Secretin)Elisa Kit(学发光免疫分析法)miltirone 5mg
人促胰液素/分泌素受体(SR)Elisa Kit(学发光免疫分析法)Neoliquiritin 5mg
人促胃液素受体(GsaR)Elisa Kit(学发光免疫分析法)Neokurarinol 10mg
人促睡眠肽(DSIP)Elisa Kit(学发光免疫分析法)Norkurarinone 5mg
人促生长激素释放激素(GHRH)Elisa Kit(学发光免疫分析法)Neochlorogenic acid 1mg
人促肾上腺皮质激素释放因子(CRF)Elisa Kit(学发光免疫分析法) Neomangiferin 1mg
人促肾上腺皮质激素(ACTH)Elisa Kit(学发光免疫分析法)Neogambogic acid 1mg
注意事项:
1、保存
请按照说明书的规定进行保存,一般放置于干燥阴凉处为宜;
注意产品的使用期限,过期变质的产品不宜使用。
2.使用
不同对照品性状不同,一般有以下几种使用形式:
(1)无需处理,直接使用;
(2)样品有引湿性,建议开封后一次性用完;
(3)热稳定样品,每支含水量不均匀,干燥三小时后再使用;
(4)热不稳定样品,每支含水量不均匀,减压干燥后使用;干燥温度若无特别说明,一般为室温(10-30℃)
(5)样品含水量较大,且每支含水量不均匀,临用前先自测水分。
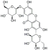
英文名称 neomangiferin
分 子 量: 584.48
CAS NO.: 64809-67-2
纯 度: ≥98%
分子式: C25H28O16
性状: 淡黄色粉末
规格: 20mg/50mg/1g,可按客户需求包装!
用途: 用于科研研究、鉴定、药理实验等
熔点:
溶解性: 可溶于甲醇、乙醇、DMSO等有机溶剂;
提取来源: 芒果叶,知母
药理药效: 新芒果苷具有抗氧化,保护肾脏损伤的作用
鉴别方法: NMR;Ms
检测方法: RP-HPLC:甲醇-0.1%磷酸溶液(25∶75),λ:316nm(仅供参考)
贮存条件: 低温冷藏,避光,密封,干燥
注意事项:
有效期限: 2年
供货能力: 现货,可根据可以客户需求批量定制
| 产品名称 | 64809-67-2新芒果苷说明书 |
| 英文名称 | neomangiferin |
| 规格 | 20mg/50mg/1g |
标准品或对照品的管理规范:
1.规范购入使用台账,严格表明购入时间、批号、来源、数量、使用期限等内容;申购的标准品或对照品的批号要与新颁布标准品或对照品批号相符;
2.严格按照规定条件进行储存,标准品或对照品的状极不稳定,对储存条件和方式非常苛刻;
3.规范管理和使用:
(1)严格按照说明书要求,由于标准品或对照品的不稳定性,若不安产品说明书的要求操作,极易造成较大的误差,从而影响检测结果;
(2)称量精密准确,标准品和对照品的含量测定要求不同,对精密性的要求很高;
(3)对于长期贮存的制备品,应充分考虑各方面的影响因素,规范操作;
(4)同时配制两份对照溶液以控制检验误差,由于现在药品的标准含量测定方法较多采用对照比较法,在测定过程中,仅配制一份对照溶液容易造成因配制对照溶液过程出现偏差;
(5)自行标定的标准品或对照品,严格规范操作,保证标准的可靠传递,并保证其可溯源性和准确性。
产品优势:
价格实惠,我们是有多年销售经验的生物试剂公司,对于同行业的市场,具有独到的判断力,欢迎广大客户与我司取得联系,并询问实时报价;
保质保量,我司严格按照国家关于标准品、对照品的标准和要求进行,操作规范,检测严格;
种类齐全,有植物标准品(对照品)、中药标准品(对照品)以及其他标准品,更多信息可以与我司销售客服联系;
服务周到,我们对售前和售后进行全程跟踪,如遇什么问题,我们都会尽力帮您解决。
以下是 64809-67-2新芒果苷说明书的相关产品:
Catechu儿茶LAMP鉴定试剂盒 质量规格:>99%,USP33,BR,可用于细胞培养 37091-65-9
Rhizoma pinelliae preparatum法半夏LAMP鉴定试剂盒 质量规格:HPLC>98%,标准品 30562-34-6
Folium sennae 番泻叶LAMP鉴定试剂盒 质量规格:>98.5%,BR 88899-55-2
Radix saposhnikoviae防风LAMP鉴定试剂盒 质量规格:HPLC>98%,标准品 170787-99-2
Radix stephaniae tetrandrae防已LAMP鉴定试剂盒 质量规格:>98.5%,BR 68302-57-8
芦竹根规格:96T/48T试剂盒组装/原装
青皮规格:96T/48T试剂盒组装/原装
白附子(独角莲)规格:96T/48T试剂盒组装/原装
重楼(云南重楼)规格:96T/48T试剂盒组装/原装
桑椹规格:96T/48T试剂盒组装/原装
粉萆薢规格:96T/48T试剂盒组装/原装
银杏叶规格:96T\48T试剂盒组装/原装
紫荆皮规格:96T/48T试剂盒组装/原装
翻白草规格:96T/48T试剂盒组装/原装
巴戟天 规格:96T/48T试剂盒组装/原装
马钱子规格:96T/48T试剂盒组装/原装
橘红规格:96T/48T试剂盒组装/原装
百蕊草规格:96T/48T试剂盒组装/原装
地锦草规格:96T/48T试剂盒组装/原装
苍耳子规格:96T/48T试剂盒组装/原装
64809-67-2新芒果苷说明书人促有丝分裂因子(MF/MPF)Elisa Kit(学发光免疫分析法) Neoandrographolide 1g
人促胰液素/胰泌素(Secretin)Elisa Kit(学发光免疫分析法)miltirone 5mg
人促胰液素/分泌素受体(SR)Elisa Kit(学发光免疫分析法)Neoliquiritin 5mg
人促胃液素受体(GsaR)Elisa Kit(学发光免疫分析法)Neokurarinol 10mg
人促睡眠肽(DSIP)Elisa Kit(学发光免疫分析法)Norkurarinone 5mg
人促生长激素释放激素(GHRH)Elisa Kit(学发光免疫分析法)Neochlorogenic acid 1mg
人促肾上腺皮质激素释放因子(CRF)Elisa Kit(学发光免疫分析法) Neomangiferin 1mg
人促肾上腺皮质激素(ACTH)Elisa Kit(学发光免疫分析法)Neogambogic acid 1mg
注意事项:
1、保存
请按照说明书的规定进行保存,一般放置于干燥阴凉处为宜;
注意产品的使用期限,过期变质的产品不宜使用。
2.使用
不同对照品性状不同,一般有以下几种使用形式:
(1)无需处理,直接使用;
(2)样品有引湿性,建议开封后一次性用完;
(3)热稳定样品,每支含水量不均匀,干燥三小时后再使用;
(4)热不稳定样品,每支含水量不均匀,减压干燥后使用;干燥温度若无特别说明,一般为室温(10-30℃)
(5)样品含水量较大,且每支含水量不均匀,临用前先自测水分。
风险提示:丁香通仅作为第三方平台,为商家信息发布提供平台空间。用户咨询产品时请注意保护个人信息及财产安全,合理判断,谨慎选购商品,商家和用户对交易行为负责。对于医疗器械类产品,请先查证核实企业经营资质和医疗器械产品注册证情况。
技术资料暂无技术资料 索取技术资料
64809-67-2新芒果苷说明书
询价









