相关产品推荐更多 >
万千商家帮你免费找货
0 人在求购买到急需产品
- 详细信息
- 文献和实验
- 技术资料
- 保存条件:
储存-20℃,干燥、避光、密封
- 保质期:
2年
- 英文名:
Sodium metaphosphate
- 库存:
1000
- 供应商:
四川省维克奇生物科技有限公司
- CAS号:
10124-56-8
- 规格:
20mg 50mg 100mg 500mg 1g 2g等应客户需求包装.
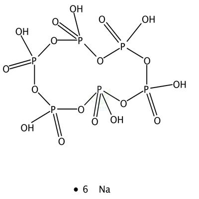
中文名称:六偏磷酸钠
英文名称:Sodium metaphosphate
英文别名:Metaphosphoric acid (H6P6O18), hexasodium salt (8CI,9CI);Hexasodium hexametaphosphate;Sodium hexametaphosphate ((NaPO3)6);Sodium hexametaphosphate (Na6P6O18);Sodium metaphosphate (Na6(PO3)6);Sodium metaphosphate (Na6P6O18);Sodium phosphate (Na6(PO3)6);Sodium phosphate (Na6P6O18);Sodium phosphate (NaPO3)6;
分子式:H6O18P6.6Na
分子量:
CAS号:10124-56-8
纯度:
储存条件:-20℃,干燥、避光、密封
规格:5mg10mg20mg50mg100mg500mg1g2g等应客户需求包装
供应单位:四川省维克奇生物科技有限公司
供应电话:028-81700200/4008005713
四川省维克奇生物科技有限公司生产中药类标准品和天然植物有效单体,主打中药对照品/标准品/天然植物有效单体,化学合成,抗生素三大板块。公司推出丹参系列、龙胆系列、虫草系列等,敬请关注! 新批次有现货,欢迎咨询。
风险提示:丁香通仅作为第三方平台,为商家信息发布提供平台空间。用户咨询产品时请注意保护个人信息及财产安全,合理判断,谨慎选购商品,商家和用户对交易行为负责。对于医疗器械类产品,请先查证核实企业经营资质和医疗器械产品注册证情况。
文献和实验四川省维克奇生物科技有限公司成立于2006年,注册资本100万元,是四川省成都市一家专业从事天然药物纯化分离公司。
主打对照品/标准品/天然植物有效单体,化学合成,抗生素三大板块。实验室拥有一批精密的分离纯化系统和检测设备;拥有一批技术精湛的研究队伍;拥有一套完整的质量管理体系;
公司可承接以下业务:
1、指定化合物克级---公斤级定制业务;
2、指定药材全系列的分离纯化业务;
3、新化合物的分离纯化及结构鉴定业务;
4、指定结构式的合成定制业务;
5、液相、质谱、核磁等检测业务。
多年的积累,公司拥有上万个现货化合物以及以下系列成熟的分离纯化工艺:甘草系列、人参系列、补骨脂系列、雷公藤系列、银杏系列、黄芪皂苷系列、黄芩系列、柴胡系列、酸枣仁系列、重楼系列、五味子系列、大黄系列、丹参系列、柴胡系列、远志系列、平贝系列等,更多系列请查看产品中心。
公司不断提高现有产品质量和开发新化合物,因此赢来了很多知名的高等学府和研究所为我公司长期合作单位,比如:清华大学、中国药科大学、广州中医药大学、江西中医药大学、成都中医药大学,四川大学、暨南大学、辽宁中医药大学、香港浸會大學中醫藥學院、上海交通大学、吉林大学、大连化物所、中国农业科学院特产研究所、中国医学科学院药用植物研究所、澳门大学中华医药研究院........我们在专注于开发国内市场的同时,不断开发国际市场,目前已远销台湾,韩国,日本,加拿大,印度,美国,英国,澳大利亚等地区和国家。在中药对照品、标准品行业里赢得了广大客户良好的口碑,受到广大客户的信赖和好评。
公司未来的发展方向是为从事药物研究行业的学者、企业搭建一个交流与合作的平台。因此,公司在自主研发的同时,敞开公司大门,吸纳有能力开发新化合物的各研究所、各大专院校、企业加入我们公司。共同探讨和研究天然药物化学这门博大精深,永无止境的事业。
公司真诚邀请您的加入,共同携手为人类健康事业做出贡献。
那么如何通过改变抗体稀释液的配方,寻求抗体孵育的最佳条件呢?首先要认清,抗体稀释液没有一个绝对通用的配方;一种抗体一个脾气。其次,抗体稀释液的配方要兼顾与特异性抗体竞争抗原的强度,以及对其他区域的封闭强度两方面的平衡。目前,抗体稀释液中可以充当封闭蛋白的主要有milk,BSA和gelatin,似乎很少的样子 。。。可是,你有没有考虑过“复方”?--这下配方无限多了吧。1. 采用milk,BSA和gelatin的单方。3% milk,5% BSA,2.很多情况下单方的浓度很高了,背景问题仍不能
1. 加强戒烟意识, 戒烟者要亲身感受到吸烟的危害, 自觉要求戒烟。 2. 寻找好的替代方法, 戒烟者戒烟后往往感觉“无事可做”,在工作场所或家里放一些口香糖、瓜子、水果之类,使其不至于感到“空虚”。 3. 扔掉吸烟用具,诸如打火机,烟灰缸,香烟,减少吸烟者的“条件反射”。 4. 尽量避免吸烟的引诱,争取得到朋友和同事的理解。尤其在刚开始戒烟时更是如此。 5. 参加切实可行的体育运动,同时多花点时间从事其它有趣
一、不同实验动物采血方法的选择决定于实验目的所需血量以及动物种类。凡用血量较少的检验如红、白细胞计数、血红蛋白的测定,血液涂片以及酶活性微量分析法等,可刺破组织取毛细血管的血。当需血量较多时可作静脉采血。静脉采血时,若需反复多次,应自远离心脏端开始,以免发生栓塞而影响整条静脉。而研究毒物对肺功能的影响、血液酸碱平衡、水盐代谢紊乱,需要比较动、静脉血氧分压、二氧化碳分压和血pH值以及K+、Na+、Cl-离子浓度,必须采取动脉血液。(一)、大、小鼠的采血方法1、颈静脉或颈动脉采血2、股静脉或股










