相关产品推荐更多 >
万千商家帮你免费找货
0 人在求购买到急需产品
- 详细信息
- 文献和实验
- 技术资料
- 库存:
18
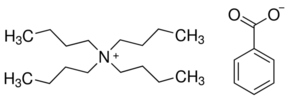
- 英文名:
Tetrabutylammonium benzoate
- CAS号:
18819-89-1
- 保质期:
2年
- 供应商:
上海联迈生物工程有限公司
- 保存条件:
RT
- 规格:
5g
- 英文名:
- Tetrabutylammonium benzoate
- 别名:
- 四丁基铵苯酸;tetra-n-butylammonium Benzoate; Tetrabutylammonium benzoate;
- CAS号:
- 18819-89-1
- 分子式:
- C23H41NO2
- 分子量:
- 363.58

- 熔点: 64-67℃(lit.)
- 沸点: 425.5℃ at 760 mmHg
- 储存条件: RT
- 注意:部分产品我司仅能提供部分信息,我司不保证所提供信息的权威性,仅供客户参考交流研究之用。
风险提示:丁香通仅作为第三方平台,为商家信息发布提供平台空间。用户咨询产品时请注意保护个人信息及财产安全,合理判断,谨慎选购商品,商家和用户对交易行为负责。对于医疗器械类产品,请先查证核实企业经营资质和医疗器械产品注册证情况。
文献和实验Single Primer ("Semi-Random") P
to about 1 ng/µL 3 µL "T/TS" @ 0.4 u Taq/µL -------- 30 µL Cycle as follows: 30"x94°C 20 cycles 0"x94°C 0"x55°C 1'x72° S=9 30 cycles 0"x94°C 0"x40°C 1'x72° S=6 30 cycles 0"x94°C 0"x55°C 1'x72° S=9 Clean up: Add 1 µL ExoI
量,算出本液的浓度,即得。 取需用草酸滴定液(0.25mol/L)时,可取草酸约32g,照上法配制与标定,但改用高锰酸钾滴定液(0.1mol/L)滴定。 【贮藏】 置玻璃塞的棕色玻璃瓶中,密闭保存。 氢氧化四丁基铵滴定液(0.1mol/L) (C4H9)4NOH=259.48 25.95g→1000ml 【配制】 取碘化四丁基铵40g,置具塞锥形瓶中,加无水甲醇90ml使溶解,置冰浴中放冷,加氧化银细粉20g,密塞,剧烈振摇60分钟;取此混合液数毫升,离心,取
公式。σ已知时按正态分布原理计算,σ未知时按t分布原理计算。 (一)σ已知时:由u分布可知,正态曲线下有95%的u值在±1.96之间,即: -1.96≤u≤+1.96 移项后,x-1.96σx≤μ≤x+1.96σx,故总体均数μ的95%可信区间为 (x-1.96σx,x+1.96σx) 公式(19.3) (二)σ未知,但n足够大(如n>100)时:由t分布可知,当自由度v越大,t分布越逼近u分布,此时t曲线
技术资料暂无技术资料 索取技术资料










