相关产品推荐更多 >
万千商家帮你免费找货
0 人在求购买到急需产品
- 详细信息
- 技术资料
- 库存:
18
- 英文名:
ETHYLENEDIAMINETETRAACETIC ACID, DISODIUM ZINC SALT
- CAS号:
12519-36-7
- 保质期:
2年
- 供应商:
上海联迈生物工程有限公司
- 保存条件:
2-8℃
- 规格:
1g
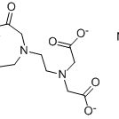
12519-36-7/乙二四乙酸二钠锌
- 英文名:
- ETHYLENEDIAMINETETRAACETIC ACID, DISODIUM ZINC SALT
- 别名:
- ;Zincate(2-), N,N-1,2-ethanediylbisN-(carboxy-.kappa.O)methylglycinato-.kappa.N,.kappa.O(4-)-, (OC-6-21)-
- CAS号:
- 12519-36-7
- 分子式:
- (NaOOCCH2)2NCH2CH2N(CH2COO)2Zn-4

- 注意:部分产品我司仅能提供部分信息,我司不保证所提供信息的权威性,仅供客户参考交流研究之用。
风险提示:丁香通仅作为第三方平台,为商家信息发布提供平台空间。用户咨询产品时请注意保护个人信息及财产安全,合理判断,谨慎选购商品,商家和用户对交易行为负责。对于医疗器械类产品,请先查证核实企业经营资质和医疗器械产品注册证情况。
技术资料暂无技术资料 索取技术资料
12519-36-7/乙二四乙酸二钠锌
¥630 - 1050









