相关产品推荐更多 >
万千商家帮你免费找货
0 人在求购买到急需产品
- 详细信息
- 文献和实验
- 技术资料
- 库存:
18
- 英文名:
Adefovir
- CAS号:
106941-25-7
- 保质期:
2年
- 供应商:
上海联迈生物工程有限公司
- 保存条件:
RT
- 规格:
1g
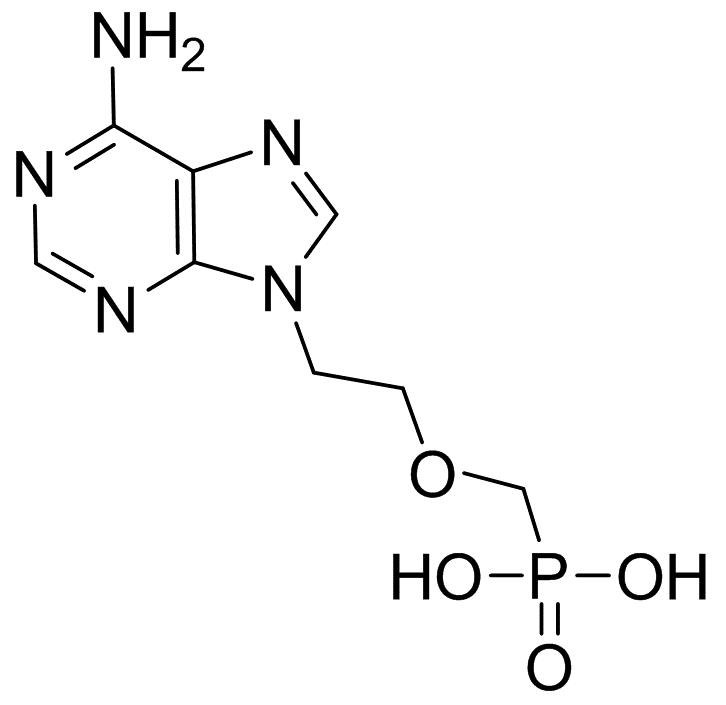
- 英文名:
- Adefovir
- 别名:
- 9-[2-(膦酰甲氧基)乙基]腺嘌呤;9-[2-[双(特戊酰氧基甲氧基)磷酰甲氧基]乙基]腺嘌呤;阿的福韦;阿地福韦;9-(2-膦酰甲氧乙基)腺嘌呤;[[2-(6-氨基-9H-嘌呤-9基)乙氧基]甲基]磷酸(PMEA);阿德福韦(PMEA);2-(6-amino-9h-purin-9-yl)ethoxy]methylphosphonic acid;9-[2-(PHOSPHONOMETHO
- CAS号:
- 106941-25-7
- 分子式:
- C8H12N5O4P
- 分子量:
- 273.19
- MDL:
- MFCD00866943

- 熔点: >260℃
- 沸点: 294-296℃
- 外观: 白色至米黄色粉末
- 储存条件: RT
- 注意:部分产品我司仅能提供部分信息,我司不保证所提供信息的权威性,仅供客户参考交流研究之用。
风险提示:丁香通仅作为第三方平台,为商家信息发布提供平台空间。用户咨询产品时请注意保护个人信息及财产安全,合理判断,谨慎选购商品,商家和用户对交易行为负责。对于医疗器械类产品,请先查证核实企业经营资质和医疗器械产品注册证情况。
文献和实验the probe stay for 1.5 hrs RT for complete erythrocyte lysis Count platelets under a phase contrast microscope at x400 magnification using Neubauer hemocytometer SOLUTIONS The Unopette Reservoir
viral immunity pathogenesis group
the probe stay for 1.5 hrs RT for complete erythrocyte lysis Count platelets under a phase contrast microscope at x400 magnification using Neubauer hemocytometer SOLUTIONS The Unopette Reservoir
.961center_y = 7.86center_z = 25.85size_x = 98.00size_y = 126.00size_z = 96.00energy_range = 4exhaustiveness = 9num_modes = 9稍微说下参数的意义:receptor:指定受体分子的路径ligand:配体分子的路径center_x,center_y,center_z:搜索空间中心的坐标size_x,size_y,size_z:指定搜索空间的大小。这里设置的大小基本就是把整个受体分子
技术资料暂无技术资料 索取技术资料









