相关产品推荐更多 >
万千商家帮你免费找货
0 人在求购买到急需产品
- 详细信息
- 文献和实验
- 技术资料
- 库存:
18
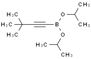
- 英文名:
(2-T-Butyl-1-Ethynyl)Diisopropoxyborane&
- CAS号:
121021-24-7
- 保质期:
2年
- 供应商:
上海联迈生物工程有限公司
- 保存条件:
RT
- 规格:
1g
- 英文名:
- (2-T-Butyl-1-Ethynyl)Diisopropoxyborane&
- 别名:
- (3,3-二甲基-1-丁炔)硼酸二异丙酯;(3,3-DIMETHYL-1-BUTYNYL)BORONIC ACID DIISOPROPYL ESTER;3,3-DIMETHYLBUTYNYLBORONIC ACID DIISOPROPYL ESTER;Diisopropyl (3,3-diMethylbut
- CAS号:
- 121021-24-7
- 分子式:
- C12H23BO2
- 分子量:
- 210.12082

- 沸点: 193-194 °C(lit.)
- 储存条件: RT
- 注意:部分产品我司仅能提供部分信息,我司不保证所提供信息的权威性,仅供客户参考交流研究之用。
风险提示:丁香通仅作为第三方平台,为商家信息发布提供平台空间。用户咨询产品时请注意保护个人信息及财产安全,合理判断,谨慎选购商品,商家和用户对交易行为负责。对于医疗器械类产品,请先查证核实企业经营资质和医疗器械产品注册证情况。
文献和实验染色步骤 1、试剂配制: (1)A 液:萘酚-AS—D 氯醋酸 10 mg 溶于 N,N-二甲基甲酰胺 1 ml 中。 (2)4% 副品红液:取盐酸副品红 (EM 级)1 g,溶于蒸馏水 20 ml 内,再加入 10m1/L 的 HCl 5m1,稍加温以增加溶解度,过滤、贮室温下。于使用前,取等量副品红液与新鲜的 4% 亚硝酸钠混合,之后用淀粉碘化物试纸测试,瞬间试纸应变为蓝色才合格,如果不变色,应加入更多的亚硝酸盐。 (3)B 液:o.1mol/L 的 Michaelis
甲醛溶液O.2ml溶于浓硫酸l0ml。 (2)醇类 ①3,5一二硝基苯酰氯 检出物:醇类。 溶液:I.2%本品甲苯溶液;Ⅱ.0.5%氢氧化钠溶液;Ⅲ.O.002%罗丹明溶液。 方法:先喷(I),在空气中干燥过夜,用蒸气薰2min,将纸或薄层通过试液(Ⅱ)30s,喷水洗,趁湿通过(Ⅲ)15s,空气干燥,紫外灯下观察。 ②硝酸铈铵 检出物:醇类。 溶液:I.1%硝酸铈铵的0.2mol/L硝酸溶液;Ⅱ.N,N-二甲基-对苯二胺盐酸盐1.5g溶于甲醇、水与乙酸
一、核酸及蛋白质常用数据 1.核苷三磷酸的物理常数 化合物 分子量 λmax(pH7.0) 1摩尔溶液(pH7.0)中λmax时的最大吸收值 OD280/OD260 ATP 507 259 15400 0.15 CTP 483 271 9000 0.97 GTP 523 253 13700 0.66 UTP 484 262 10000 0.38 dATP 494 259 15200 0.15 dCTP 467 271 9300
技术资料暂无技术资料 索取技术资料










