相关产品推荐更多 >
万千商家帮你免费找货
0 人在求购买到急需产品
- 详细信息
- 文献和实验
- 技术资料
- 库存:
18
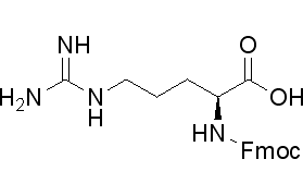
- 英文名:
Fmoc-Arg-OH
- CAS号:
91000-69-0
- 保质期:
2年
- 供应商:
上海联迈生物工程有限公司
- 保存条件:
2-8℃
- 规格:
5g
- 英文名:
- Fmoc-Arg-OH
- 别名:
- Fmoc-L-精氨酸;N-芴甲氧羰基-L-精氨酸
- CAS号:
- 91000-69-0
- 分子式:
- C21H24N4O4
- 分子量:
- 396.44
- MDL:
- MFCD00051770

- 熔点: 145-150℃
- 外观: 无色结晶
- 储存条件: 2-8℃
- 用途: 用于生化试剂,多肽合成。
- 注意:部分产品我司仅能提供部分信息,我司不保证所提供信息的权威性,仅供客户参考交流研究之用。
风险提示:丁香通仅作为第三方平台,为商家信息发布提供平台空间。用户咨询产品时请注意保护个人信息及财产安全,合理判断,谨慎选购商品,商家和用户对交易行为负责。对于医疗器械类产品,请先查证核实企业经营资质和医疗器械产品注册证情况。
文献和实验盐。 如果多肽在水中的溶解性有限,有几种选择可帮助溶解: 对碱性肽用稀乙酸(含Arg , Lys , His) 酸性肽用稀氨水(含Asp, Glu) 对极疏水的肽用10%有机修饰物(Acetonitnile , Methanol) 极不溶的肽用DM50或DMF guanicline hydrochloride或脲的浓溶液也很有用, 与上述方法合用, 声处理也是溶解多肽的有效手段。 多肽的包装 目录中所有多肽除特别说明外,纯度为95~98
the probe stay for 1.5 hrs RT for complete erythrocyte lysis Count platelets under a phase contrast microscope at x400 magnification using Neubauer hemocytometer SOLUTIONS The Unopette Reservoir
viral immunity pathogenesis group
the probe stay for 1.5 hrs RT for complete erythrocyte lysis Count platelets under a phase contrast microscope at x400 magnification using Neubauer hemocytometer SOLUTIONS The Unopette Reservoir
技术资料暂无技术资料 索取技术资料










