相关产品推荐更多 >
万千商家帮你免费找货
0 人在求购买到急需产品
- 详细信息
- 文献和实验
- 技术资料
- 库存:
18
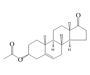
- 英文名:
Dehydroisoandrosterone 3-acetate
- CAS号:
853-23-6
- 保质期:
2年
- 供应商:
上海联迈生物工程有限公司
- 保存条件:
RT
- 规格:
5g
- 英文名:
- Dehydroisoandrosterone 3-acetate
- 别名:
- CAS号:
- 853-23-6
- 分子式:
- C21H30O3
- 分子量:
- 330.46
- MDL:
- MFCD00021119

- 熔点: 168-170℃
- 储存条件: RT
- 注意:部分产品我司仅能提供部分信息,我司不保证所提供信息的权威性,仅供客户参考交流研究之用。
风险提示:丁香通仅作为第三方平台,为商家信息发布提供平台空间。用户咨询产品时请注意保护个人信息及财产安全,合理判断,谨慎选购商品,商家和用户对交易行为负责。对于医疗器械类产品,请先查证核实企业经营资质和医疗器械产品注册证情况。
文献和实验吗?我们无法通过研究多肽的结构来预测其在水中的溶解度,不能保证最终产品在水中或者其他溶剂中的溶解性。然而,赖氨酸的ε-氨基和精氨酸的胍通常有助于预测溶解度,尤其是短肽。与此相反,含有天门冬氨酸和谷氨酸的酸性肽往往是不易溶于水的,但易溶于稀氨水或碱性缓冲液。 4. 多肽的纯度(HPLC)及多肽含量(Peptide Content)多肽的纯度(HPLC)及多肽含量(Peptide Content)意义不同,订购多肽之前需要明确。案例:1g 多肽 HPLC 98% 纯度, 80% 多肽含量,水含量10
HPLC法测定磁性微球及大鼠肝组织中的平阳霉素 张毕奎 阎小华 刘新华 张胜 吴汉江 摘要 目的:建立磁性微球及鼠肝组织中平阳霉素的检测方法,评价磁性微球的靶向性。方法:采用RP-HPLC法,紫外检测,内标法定量,平阳霉素磁性微球采用pH=4的胃蛋白酶消化后过滤稀释测定,鼠肝组织匀浆后离心取上清液用三氯醋酸沉淀蛋白后直接进样分析。结果:测定样品在10~50 μg.mL-1范围内线性关系良好,回收率和精密度均较满意。结论:用本法测定磁性微球及鼠肝组织中平阳霉素,可用于研究磁性
,比如heptafluorobutyric酸,0.1%磷酸, 稀He formic酸(5-6%, pH2-4), 10-100mM NH4HCO3, 醋酸钠/氨,TFA/TEA,磷酸钠或钾,异戊酚。这样许多不同组合可形成缓冲剂,但要注意一点:硅反相柱料不能长时间暴露于高pH,甚至微碱pH, 因为这样会破坏柱子。 纯化 SPPS提取的粗肽含许多副产物,早期的纯化方法包括离子交换,分溶和反溶注析, 更现代的方法是反相HPLC,一般于60残基或更少的肽很成功。 当反相HPLC失败时,可按合离子
技术资料暂无技术资料 索取技术资料









