相关产品推荐更多 >
万千商家帮你免费找货
0 人在求购买到急需产品
- 详细信息
- 文献和实验
- 技术资料
- 库存:
18
- 英文名:
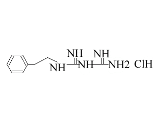
Phenformin hydrochloride
- CAS号:
834-28-6
- 保质期:
2年
- 供应商:
上海联迈生物工程有限公司
- 保存条件:
RT
- 规格:
1g
- 英文名:
- Phenformin hydrochloride
- 别名:
- 苯乙双胍盐酸盐,降糖灵盐酸盐
- CAS号:
- 834-28-6
- 分子式:
- C10H15N5 · HCl
- 分子量:
- 241.72
- MDL:
- MFCD00035039

- 储存条件: RT
- 注意:部分产品我司仅能提供部分信息,我司不保证所提供信息的权威性,仅供客户参考交流研究之用。
风险提示:丁香通仅作为第三方平台,为商家信息发布提供平台空间。用户咨询产品时请注意保护个人信息及财产安全,合理判断,谨慎选购商品,商家和用户对交易行为负责。对于医疗器械类产品,请先查证核实企业经营资质和医疗器械产品注册证情况。
文献和实验.8g,加蒸馏水至1000ml,使0.2mol/L的二甲胂酸钠溶液;再取HCl 1.7ml加蒸馏水至1000ml ,配成0.1N,最后 取0.2mol/L二甲胂酸钠溶液500ml及0.1n HCl 28ml混合,加蒸馏水至1000ml,即为0.1mol/L的二甲胂酸钠缓冲液。 8、几种常用的不同pH值缓冲液的配制表 (1)0.2mol/L磷酸盐缓冲液(pH5.7~8.0) (2)0.05mol/L Tris-HCl缓冲液(pH7.19~9.10) (3)0.2mol/L醋酸盐缓冲
基各组分,溶解。一般配置培养基的体积为预定的70%,因为灭菌时,通入的蒸汽发生冷凝,会使发酵液的体积增加。使用合成培养基时,将糖类及磷酸盐溶液分别用高压灭菌锅灭菌,开始培养前放入发酵罐内,这是为了避免灭菌时糖类物质与氨基化合物反应生成褐色物质,以及防止磷酸盐与其它金属离子生成沉淀。 4. 发酵装置(罐)的清洗 发酵罐使用前后都应认真清洗,特别是前后两次培养采用不同的菌株时,更应注意清洗和杀菌工作。 发酵罐有多种型式,罐内(可进行清洗的)任何部分都应认真清洗
]。 MSO要求预先设计一对含有2个不相邻的GC(或AC)的探针,用于识别甲基化和非甲基化的序列,其中含GC的探针(5[42]'---GC---GC---3')识别甲基化序列,含AC的探针(5'---AC---AC---3')识别非甲基化序列,探针的5'端通过Linker固定于玻璃板上。首先对待研究片段用重亚硫酸盐处理,将非甲基化的胞嘧啶变为尿嘧啶,甲基化的不变,再行PCR扩增,产物的3'端用荧光素标记,移至连有探针的玻璃板上进行杂交,通过检测杂交后产生的荧光强度判断待测序列中甲基化的水平。此方法一定
技术资料暂无技术资料 索取技术资料










