相关产品推荐更多 >
万千商家帮你免费找货
0 人在求购买到急需产品
- 详细信息
- 文献和实验
- 技术资料
- 库存:
18
- 英文名:
Potassium Triisopropoxyborohydride
- CAS号:
4228-67-1
- 保质期:
2年
- 供应商:
上海联迈生物工程有限公司
- 保存条件:
2-8℃
- 规格:
1mg
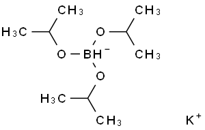
4228-67-1/三异丙氧基硼氢化
- 英文名:
- Potassium Triisopropoxyborohydride
- 别名:
- 三异丙氧基硼氢化;Potassium Hydro(Triisopropoxy)Borate;Potassium Triisopropoxyborohydride, in tetraHydrofuran, 1M Solution;Potassium Triisopropoxyborohydride, 1m Solution in
- CAS号:
- 4228-67-1
- 分子式:
- C9H22BKO3
- 分子量:
- 228.17848

- 储存条件: 2-8℃
- 注意:部分产品我司仅能提供部分信息,我司不保证所提供信息的权威性,仅供客户参考交流研究之用。
风险提示:丁香通仅作为第三方平台,为商家信息发布提供平台空间。用户咨询产品时请注意保护个人信息及财产安全,合理判断,谨慎选购商品,商家和用户对交易行为负责。对于医疗器械类产品,请先查证核实企业经营资质和医疗器械产品注册证情况。
文献和实验相关实验
用酶联免疫吸附试验(ELISA)检测临床病人血清中有Hp抗体报道,国内尚未有这方面研究报告。本文报道建立一种检测人体抗Hp抗体的ELISA的实验结果及与细菌培养法和尿素酶测定法对比检测结果,研究证明本法特异、敏感、适用于大量标本普查和及时判断治疗反应,现将结果报告如下。 一、材料和方法 1、材料①40孔聚苯乙烯微量凹孔板:上海塑料三厂产品。②酶联板离心篮:根据40孔酶联板本实验室自行设计制成。③DG—Ⅰ型酶联免疫检测仪:南京华东电子管厂产品。④试剂:过氧化物酶(HRP),R2=3.2,美国Sigma
技术资料暂无技术资料 索取技术资料
4228-67-1/三异丙氧基硼氢化
¥2310 - 18480







