相关产品推荐更多 >
万千商家帮你免费找货
0 人在求购买到急需产品
- 详细信息
- 文献和实验
- 技术资料
- 库存:
18
- 英文名:
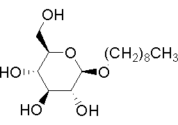
Nonyl β-D-glucopyranoside
- CAS号:
69984-73-2
- 保质期:
2年
- 供应商:
上海联迈生物工程有限公司
- 保存条件:
-20℃
- 规格:
250mg
- 英文名:
- Nonyl β-D-glucopyranoside
- 别名:
- 壬基-β-D-吡喃葡糖苷;n-壬基-β-D-吡喃葡萄糖苷
- CAS号:
- 69984-73-2
- 分子式:
- C15H30O6
- 分子量:
- 306.4
- MDL:
- MFCD00063300

- 介绍: non-ionic
- 储存条件: -20℃
- 注意:部分产品我司仅能提供部分信息,我司不保证所提供信息的权威性,仅供客户参考交流研究之用。
风险提示:丁香通仅作为第三方平台,为商家信息发布提供平台空间。用户咨询产品时请注意保护个人信息及财产安全,合理判断,谨慎选购商品,商家和用户对交易行为负责。对于医疗器械类产品,请先查证核实企业经营资质和医疗器械产品注册证情况。
文献和实验纤维素 cellulose D-葡萄糖以β -1, 4糖苷键连接而成的链状高分子。具有( C6 H10 O5 ) n 的组成。是维管束植物、地衣植物以及一部分藻类细胞壁的主要成分。醋酸菌( Acetobaeter)的荚膜,以及尾索类动物的被囊中也发现有纤维素的存在,棉的种子毛是高纯度( 98%的纤维素。所谓α -纤维素(α- cellulose)这一名称系指从原来细胞壁的完全纤维素标准样品用 17.5%NaOH不能提取的部分。β -纤维素(β -cellulose
a look from the following website just by clicking "Tyrosine Phosphorylation and Dimerization" http://www.sciencedirect.com/science?_ob=ArticleURL&_udi=B6WSN-43F85YV-2&_user=1111158&_coverDate=06%2F29%2F2001&_rdoc=1&_fmt=full&_orig=search
. U. , Kast, P. , and Hilvert, D. ( 2 0 0 1 ) Searching sequence space for proteincatalysts. Proc. Natl. Acad. Sci. USA 98, 1 0 596 -1 06 01 . 14. Roy, S. , Ratnaswamy, G. , Boice, J. A. , Fairman, F. , McLendon, G. ,
技术资料暂无技术资料 索取技术资料








