相关产品推荐更多 >
万千商家帮你免费找货
0 人在求购买到急需产品
- 详细信息
- 技术资料
- 库存:
18
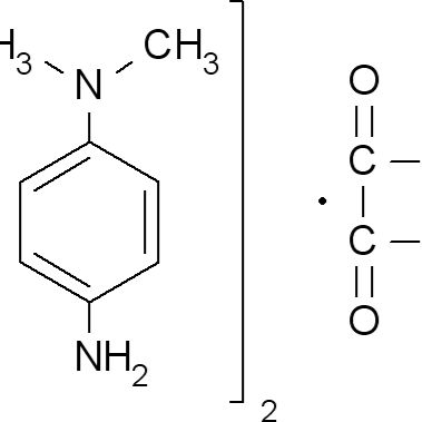
- 英文名:
N,N-Dimethyl-1,4-phenylenediamine oxalate
- CAS号:
62778-12-5
- 保质期:
2年
- 供应商:
上海联迈生物工程有限公司
- 保存条件:
RT
- 规格:
5g
62778-12-5/ N.N-二甲基对苯二草酸盐 , AR,98%
- 英文名:
- N,N-Dimethyl-1,4-phenylenediamine oxalate
- 别名:
- CAS号:
- 62778-12-5
- 分子式:
- C16H24N4·H2C2O4
- 分子量:
- 181.21
- MDL:
- MFCD00036387

- 熔点: 205℃
- 储存条件: RT
- 用途: 环保试剂。
- 注意:部分产品我司仅能提供部分信息,我司不保证所提供信息的权威性,仅供客户参考交流研究之用。
风险提示:丁香通仅作为第三方平台,为商家信息发布提供平台空间。用户咨询产品时请注意保护个人信息及财产安全,合理判断,谨慎选购商品,商家和用户对交易行为负责。对于医疗器械类产品,请先查证核实企业经营资质和医疗器械产品注册证情况。
技术资料暂无技术资料 索取技术资料
62778-12-5/ N.N-二甲基对苯二草酸盐 , AR,98%
¥100









