相关产品推荐更多 >
万千商家帮你免费找货
0 人在求购买到急需产品
- 详细信息
- 文献和实验
- 技术资料
- 库存:
18
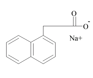
- 英文名:
1-Naphthaleneacetic Acid Sodium Salt
- CAS号:
61-31-4
- 保质期:
2年
- 供应商:
上海联迈生物工程有限公司
- 保存条件:
RT
- 规格:
25g
- 英文名:
- 1-Naphthaleneacetic Acid Sodium Salt
- 别名:
- 1-萘乙酸钠;α-萘乙酸钠
- CAS号:
- 61-31-4
- 分子式:
- C12H9NaO2
- 分子量:
- 208.19
- MDL:
- MFCD00064967

- 介绍: 可溶于水及有机溶剂、无沉淀、无杂质。
- 外观: 白色结晶性粉末
- 储存条件: RT
- 用途: 植物生长调节剂
- 注意:部分产品我司仅能提供部分信息,我司不保证所提供信息的权威性,仅供客户参考交流研究之用。
风险提示:丁香通仅作为第三方平台,为商家信息发布提供平台空间。用户咨询产品时请注意保护个人信息及财产安全,合理判断,谨慎选购商品,商家和用户对交易行为负责。对于医疗器械类产品,请先查证核实企业经营资质和医疗器械产品注册证情况。
文献和实验网络 附表4 百分比的95%与99%可信区间 观察数f 95%可信区间 99%可信区间 样本大小,n 样本大小,n 10 15 20 30 10 15 20 30 0 0 31 0 22 0 17
佚名 观察数f 95%可信区间 99%可信区间 样本大小,n 样本大小,n
百分比的95%与99%可信区间 观察数f 95%可信区间 99%可信区间 样本大小,n 样本大小,n 10
技术资料暂无技术资料 索取技术资料









