相关产品推荐更多 >
万千商家帮你免费找货
0 人在求购买到急需产品
- 详细信息
- 文献和实验
- 技术资料
- 库存:
18
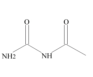
- 英文名:
Acetylurea
- CAS号:
591-07-1
- 保质期:
2年
- 供应商:
上海联迈生物工程有限公司
- 保存条件:
2-8℃
- 规格:
5g
- 英文名:
- Acetylurea
- 别名:
- CAS号:
- 591-07-1
- 分子式:
- C3H6N2O2
- 分子量:
- 102.09
- MDL:
- MFCD00038140

- 熔点: 212- 216℃
- 沸点: 332.72℃
- 溶解性: Soluble in water.
- 储存条件: 2-8℃
- 注意:部分产品我司仅能提供部分信息,我司不保证所提供信息的权威性,仅供客户参考交流研究之用。
风险提示:丁香通仅作为第三方平台,为商家信息发布提供平台空间。用户咨询产品时请注意保护个人信息及财产安全,合理判断,谨慎选购商品,商家和用户对交易行为负责。对于医疗器械类产品,请先查证核实企业经营资质和医疗器械产品注册证情况。
文献和实验项目 单位 X±SD 样本数 参考
+GzdaSAGlRG6SoSPNYUbxOYTNRWoVK6ttmEF2A8JrQmgCuMROQMQsuXTpEmzJ3fnxo8f49OkjAsjtV4WMdPXoS7w2RZPt07dvuAdK7D2l/J3zFFZ/+JChsR691KLMxiLXzyqKiDpmzJgUnZC/63UcPfsNph3boxIF2fV4chG21x/hnSfFklHTQdGKddCkcTnoyNxx//BRvC3UHp1q5o3RvT5FJ8qdZygCLHxkqO3kxSSGgFDjr1u3FosXLUJ
0.02 0.10 0.45 1.32 2.71 3.84 5.02 6.63 7.88 2 0.01 0.02 0.02 0.10 0.21 0.58 1.39 2.77 4.61 5.99 7.38 9.21 10.60 3 0.07 0.11
技术资料暂无技术资料 索取技术资料










