相关产品推荐更多 >
万千商家帮你免费找货
0 人在求购买到急需产品
- 详细信息
- 技术资料
- 库存:
18
- 英文名:
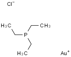
Chloro(Triethylphosphine)Gold(I)
- CAS号:
15529-90-5
- 保质期:
2年
- 供应商:
上海联迈生物工程有限公司
- 保存条件:
RT
- 规格:
250mg
15529-90-5/ 氯(三乙基膦)金(I) , ≥97%
- 英文名:
- Chloro(Triethylphosphine)Gold(I)
- 别名:
- Chloro(Triethylphosphine)-Gol;Chloro(Triethylphosphine)Gold;Gold, Chloro(Triethylphosphine)-;SK&F 36914;sk&f36914;Triethylphosphineaurous Chloride;Triethylphosphinegold;Chloro(Triethylphos;
- CAS号:
- 15529-90-5
- 分子式:
- C6H15AuClP
- 分子量:
- 350.58

- 熔点: 84-86 °C
- 储存条件: RT
- 注意:部分产品我司仅能提供部分信息,我司不保证所提供信息的权威性,仅供客户参考交流研究之用。
风险提示:丁香通仅作为第三方平台,为商家信息发布提供平台空间。用户咨询产品时请注意保护个人信息及财产安全,合理判断,谨慎选购商品,商家和用户对交易行为负责。对于医疗器械类产品,请先查证核实企业经营资质和医疗器械产品注册证情况。
技术资料暂无技术资料 索取技术资料
15529-90-5/ 氯(三乙基膦)金(I) , ≥97%
¥940









