相关产品推荐更多 >
万千商家帮你免费找货
0 人在求购买到急需产品
- 详细信息
- 文献和实验
- 技术资料
- 库存:
18
- 英文名:
15N2, 98%)
- CAS号:
1346617-00-2
- 保质期:
2年
- 供应商:
上海联迈生物工程有限公司
- 保存条件:
2-8℃
- 规格:
10mg
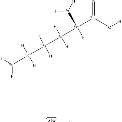
1346617-00-2/5,6-二氢尿嘧啶 (13C4
- 英文名:
- 15N2, 98%)
- 别名:
- CAS号:
- 1346617-00-2
- 分子式:
- C5H13ClN2O2
- 分子量:
- 175.68492

- 注意:部分产品我司仅能提供部分信息,我司不保证所提供信息的权威性,仅供客户参考交流研究之用。
风险提示:丁香通仅作为第三方平台,为商家信息发布提供平台空间。用户咨询产品时请注意保护个人信息及财产安全,合理判断,谨慎选购商品,商家和用户对交易行为负责。对于医疗器械类产品,请先查证核实企业经营资质和医疗器械产品注册证情况。
文献和实验相关实验
2F+DwTquooTcizAj6Sh40arj1e+iWJ2ispgsbT801bWi9OaaVDQ0u7N9Rf22Q7je3ypEkT/aXtAx/4gHh20RbetchuWXizve3YY/3L0LGHHqt8Cva+97zf/vEfvyYb4imWXpTxLz8m4rvgjodswc3X26Xnn2o3LbjZPv/Fv5GGuGa33/ZzO2n2HD17NAEWeUXwmQh44uy32U+uutL+69e+6jjedfsddvSxx3m8xNNFQ67wipqQKHyESZ35
5+YiLLj4HREBXstjztk7uH3PDncf2sPhxRlMq6wGF+vZ2OlE8VGoBH85gWn/XYBn2ck48eAqDu+xwjbrU7h2Zz2aZ3fD6YWWeBFuzJv2yfAMMyYBFj4y5r7yqpgAE0jPBFRyolzbpihAeo1X9z5K2o2YlqOUxRTN25rQLQ+8+x4oVfFzvgFHklZM2raEadaIsxjVfI0wedUizB5fB7r8yR8TTr6mQAL8FlQgbB6KCTABJiAfgWD8ev0cIrh
技术资料暂无技术资料 索取技术资料
1346617-00-2/5,6-二氢尿嘧啶 (13C4
¥192500 - 223300









