相关产品推荐更多 >
万千商家帮你免费找货
0 人在求购买到急需产品
- 详细信息
- 文献和实验
- 技术资料
- 库存:
18
- 英文名:
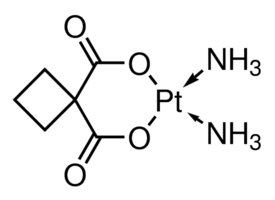
Carboplatin
- CAS号:
41575-94-4
- 保质期:
2年
- 供应商:
上海联迈生物工程有限公司
- 保存条件:
RT
- 规格:
100mg
- 英文名:
- Carboplatin
- 别名:
- 卡铂;碳铂;顺-二氨-1,1-环丁烷基二羟酸铂
- CAS号:
- 41575-94-4
- 分子式:
- C6H12N2O4Pt
- 分子量:
- 371.25
- MDL:
- MFCD00070464

- 熔点: >275℃
- 外观: 白色固体
- 敏感性: 对光敏感
- 储存条件: RT
- 用途: 卡铂是铂为基础的抗癌药物,它会损害DNA,通过形成链内与邻近鸟嘌呤残基偶联。这些药物的抗肿瘤是通过DNA的错配修复丢失(MMR疫苗)的活性和诱导细胞程序性死亡来实现。
- 注意:部分产品我司仅能提供部分信息,我司不保证所提供信息的权威性,仅供客户参考交流研究之用。
风险提示:丁香通仅作为第三方平台,为商家信息发布提供平台空间。用户咨询产品时请注意保护个人信息及财产安全,合理判断,谨慎选购商品,商家和用户对交易行为负责。对于医疗器械类产品,请先查证核实企业经营资质和医疗器械产品注册证情况。
文献和实验(珠江水产研究所,农业部热带亚热带鱼类选育与养殖重点开放实验室,广州510380) 摘 要 通过血液提取鲮鱼(Cirrhina molitorella)基因组 DNA,对珠江流域不同居群的58 个鲮鱼进行了RAPD 遗传分析。利用23 个10mer-寡聚核苷酸引物扩增样品,共检测了98 个位点,多态位点为35 个,多态位点百分率为35.7%。单一引物检测的位点数为1-9。野生居群的多态性较池养居群多,野生居群中以北江多态性最少,遗传
the probe stay for 1.5 hrs RT for complete erythrocyte lysis Count platelets under a phase contrast microscope at x400 magnification using Neubauer hemocytometer SOLUTIONS The Unopette Reservoir
viral immunity pathogenesis group
the probe stay for 1.5 hrs RT for complete erythrocyte lysis Count platelets under a phase contrast microscope at x400 magnification using Neubauer hemocytometer SOLUTIONS The Unopette Reservoir
技术资料暂无技术资料 索取技术资料









