相关产品推荐更多 >
万千商家帮你免费找货
0 人在求购买到急需产品
- 详细信息
- 技术资料
- 库存:
18
- CAS号:
178925-55-8
- 保质期:
2年
- 供应商:
上海联迈生物工程有限公司
- 保存条件:
2-8℃
- 规格:
1g
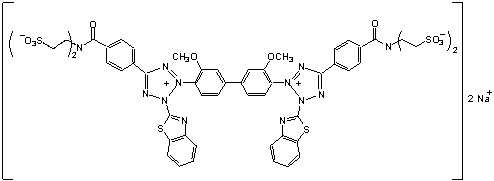
178925-55-8/ 水溶性四氮唑-5 , Biological stain,biochemical reagent grade
- 英文名:
- 别名:
- 水溶性四氮唑-5
- CAS号:
- 178925-55-8
- 分子式:
- C52H44N12O16S6·2Na
- 分子量:
- 1331.36

- 储存条件: 2-8℃
- 注意:部分产品我司仅能提供部分信息,我司不保证所提供信息的权威性,仅供客户参考交流研究之用。
风险提示:丁香通仅作为第三方平台,为商家信息发布提供平台空间。用户咨询产品时请注意保护个人信息及财产安全,合理判断,谨慎选购商品,商家和用户对交易行为负责。对于医疗器械类产品,请先查证核实企业经营资质和医疗器械产品注册证情况。
技术资料暂无技术资料 索取技术资料
178925-55-8/ 水溶性四氮唑-5 , Biological stain,biochemical reagent grade
¥4700 - 7200




![136554-94-4/ N-[芴甲氧羰基]-D-色氨酸五氟甲基酯. 98%](https://img1.dxycdn.com/2020/0829/767/1480858517877903343-14.jpg!wh200)




