相关产品推荐更多 >
万千商家帮你免费找货
0 人在求购买到急需产品
- 详细信息
- 文献和实验
- 技术资料
- 库存:
18
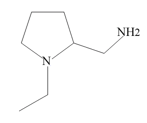
- 英文名:
2-(Aminomethyl)-1-ethylpyrrolidine
- CAS号:
26116-12-1
- 保质期:
2年
- 供应商:
上海联迈生物工程有限公司
- 保存条件:
RT
- 规格:
1g
- 英文名:
- 2-(Aminomethyl)-1-ethylpyrrolidine
- 别名:
- CAS号:
- 26116-12-1
- 分子式:
- C7H16N2
- 分子量:
- 128.22
- MDL:
- MFCD00003178

- 熔点: 58-60℃ (16mmHg)
- 沸点: 58-60℃/16 mmHg(lit.)
- 储存条件: RT
- 注意:部分产品我司仅能提供部分信息,我司不保证所提供信息的权威性,仅供客户参考交流研究之用。
风险提示:丁香通仅作为第三方平台,为商家信息发布提供平台空间。用户咨询产品时请注意保护个人信息及财产安全,合理判断,谨慎选购商品,商家和用户对交易行为负责。对于医疗器械类产品,请先查证核实企业经营资质和医疗器械产品注册证情况。
文献和实验修饰电极。 自组装膜法制得的DNA修饰电极,表面结构高度有序,稳定性好,有利于杂交,但对巯基化合物修饰的DNA的纯度要求较高,分离提纯操作较繁琐。 2.2 共价键合法 共价键合法一般分2步进行。第1步是电极的活化预处理,以引入活性键合基团;第2步进行表面的有机合成,通过共价键合反应把探针分子修饰到电极表面。 Millan等[12]研究发现,在氧化的玻碳电极表面,以一种水溶性的乙基-(3-二甲基丙基)碳二亚胺盐酸盐(EDC)和N-烃基磺基琥珀酰亚胺(NHS)作偶联活化
/ml 的溶液,可如下处理: ①将EB溶液用水稀释至浓度低于0.5 mg/ml; ②加入一倍体积的0.5 mol/L KMnO4,混匀,再加入等量的25 mol/L HCl,混匀,置室温数小时; ③加入一倍体积的2.5 mol/L NaOH,混匀并废弃。 (2)EB含量小于0.5 mg/ml 的溶液可如下处理: ① 按1 mg/ml 的量加入活性炭,不时轻摇混匀,室温放置1小时; ② 用滤纸过滤并将活性碳与滤纸密封后丢弃。 3. DEPC DEPC即二乙基
之间的作用则主要是较弱的疏水性作用。该方法可以在5 min 内完成一次测定,其对三甲基铅和三乙基铅的测定的检测限分别为11.3 和12.6 ng/mL 之间。另外,关于使用SPME-HPLC 联用技术萃取测定爆炸物[8 ] 和无机离子[15 ,18 ] 等的研究也有少量报道。 2. SPME2HPLC 联用技术在生物及食品样品分析中的应用 生物样品分析是SPME-HPLC 联用技术应用较多的另一个重要领域。目前已经萃取测定过的分析对象主要有药物、内源性物质及其有害性物质如农药
技术资料暂无技术资料 索取技术资料










