相关产品推荐更多 >
万千商家帮你免费找货
0 人在求购买到急需产品
- 详细信息
- 文献和实验
- 技术资料
- 库存:
18
- 英文名:
BISMERTHIAZOL
- CAS号:
79319-85-0
- 保质期:
2年
- 供应商:
上海联迈生物工程有限公司
- 保存条件:
2-8℃
- 规格:
10g
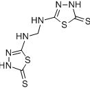
- 英文名:
- BISMERTHIAZOL
- 别名:
- N,N’-甲撑-双(2-氨基-5-巯基-1,3,4-噻二唑);N,N’-亚甲基双(2-氨基-5-巯基-1,3,4-噻二唑);川化-108;噻枯唑;叶枯宁;叶枯唑;叶青双;N,N′-亚甲基双(2-氨基-5-巯基-1,3,4-噻二唑);BISMERTHIAZOL;3,4-Thiadiazole-2(3H)-thione,5,5’-(methylenediimino)bis-1;4-thiadiazol
- CAS号:
- 79319-85-0
- 分子式:
- C5H6N6S4
- 分子量:
- 278.4

- 储存条件: 2-8℃
- 注意:部分产品我司仅能提供部分信息,我司不保证所提供信息的权威性,仅供客户参考交流研究之用。
风险提示:丁香通仅作为第三方平台,为商家信息发布提供平台空间。用户咨询产品时请注意保护个人信息及财产安全,合理判断,谨慎选购商品,商家和用户对交易行为负责。对于医疗器械类产品,请先查证核实企业经营资质和医疗器械产品注册证情况。
文献和实验红细胞免疫功能检测技术(Erythrocyte immune function detection techniq
抗凝血、姬姆萨氏染色液。金黄色葡萄球菌SPA阳性株为Cowan I (ATCC12598或NCTC8530),阴性株为Wood46株等。 三、操作方法 1.红细胞C3bR花环试验 (1)C3b致敏酵母悬液制备:将酵母试剂用Hank’s液(含钙、镁、pH值7.2,下同)洗1次(1 000r/m离心10min),配成含酵母细胞1.00×108/ml的悬液,加等量新鲜豚鼠血清,混匀,37℃水浴20min。然后再以Hank’s液洗2次,恢复原浓度,即为C3b致敏酵母细胞悬液。酵母
Preparation of Yeast DNA Embedded in Agarose Plugs
ml culture with a single colony from a YAC-containing strain of yeast and grow until saturated. Determine the number of yeast cells per milliliter. The cell count should be roughly 1 X 108 cells/ml for a saturated culture. A 5 ml saturated culture
(hematopoietic stem cells) 和CD279 (PD-1)。 · 将孵育好的样品加入到 1 ml 的 Strep-Tactin®TACS 琼脂糖层析柱上(柱子最大结合能力:1 x 108个细胞)。 · 当样品完全进入柱子后,加入 10 ml Buffer洗脱两次,就可以得到未结合的细胞了。后续使用流式细胞术检测富集的 NK 细胞。 (此处用到的试剂见文末) 结果与讨论 通过使用阴选将非目的细胞去除后,获得了高纯度的目的细胞群。实验用到了 Strep-Tactin®TACS 琼脂糖层析
技术资料暂无技术资料 索取技术资料










