相关产品推荐更多 >
万千商家帮你免费找货
0 人在求购买到急需产品
- 详细信息
- 文献和实验
- 技术资料
- 库存:
18
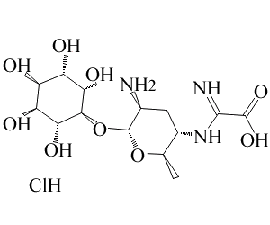
- 英文名:
Kasugamycin hydrochloride
- CAS号:
19408-46-9
- 保质期:
2年
- 供应商:
上海联迈生物工程有限公司
- 保存条件:
2-8℃
- 规格:
5g
- 英文名:
- Kasugamycin hydrochloride
- 别名:
- 春雷霉素盐酸盐;盐酸春雷霉素
- CAS号:
- 19408-46-9
- 分子式:
- C14H26ClN3O9
- 分子量:
- 415.82
- MDL:
- MFCD00058459

- 熔点: 203℃ (d℃)
- 沸点: 628.2℃ at 760mmHg
- 储存条件: 2-8℃
- 用途: 抗生素类药。 农用杀菌剂,对水稻上的稻瘟病有优异防效。
- 注意:部分产品我司仅能提供部分信息,我司不保证所提供信息的权威性,仅供客户参考交流研究之用
风险提示:丁香通仅作为第三方平台,为商家信息发布提供平台空间。用户咨询产品时请注意保护个人信息及财产安全,合理判断,谨慎选购商品,商家和用户对交易行为负责。对于医疗器械类产品,请先查证核实企业经营资质和医疗器械产品注册证情况。
文献和实验网络 第三节 秩和检验 用秩号代替原始数据后,所得某些秩号之和,称为秩和,用秩和进行假设检验即为秩和检验。其检验假设在两组比较(成对或不成对)时,H 0 :F(X 1 )=F(X 2 ),即两总体的分布函数相等,备择假设H 1 :F(X 1
() #交换 x 轴和 y 轴> p + ylim(0,15) #如果想截取某一段可以用此命令设置值域。> p + scale_x_continuous(breaks =seq(18,34,50) ) #设置刻度线位置> p + theme(axis.text.x = element_text(angle = 90,family = "Times",face = "italic",colour = "darkred",size=rel(0.9))) # angle = 90 设置字体角度, family
785.2 H2 O [ml] 948.35 895 840.65 784.6 727.15 668.2 607.55 545.7 %(w/w) 9.379 17.988 25.940 33.350 40.295 46.846 53.070 58.998 H2 O %(w/w) 90.621 82.012 74.060 66.650 59.705 53.154 46.930 41.002 p (g
技术资料暂无技术资料 索取技术资料









