相关产品推荐更多 >
万千商家帮你免费找货
0 人在求购买到急需产品
- 详细信息
- 文献和实验
- 技术资料
- 库存:
18
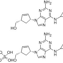
- 英文名:
ABACAVIR SULFATE
- CAS号:
136777-48-5
- 保质期:
2年
- 供应商:
上海联迈生物工程有限公司
- 保存条件:
2-8℃
- 规格:
0.5mg
- 英文名:
- ABACAVIR SULFATE
- 别名:
- CAS号:
- 136777-48-5
- 分子式:
- C28H38N12O6S
- 分子量:
- 670.74
注意:部分产品我司仅能提供部分信息,我司不保证所提供信息的权威性,仅供客户参考交流研究之用。
风险提示:丁香通仅作为第三方平台,为商家信息发布提供平台空间。用户咨询产品时请注意保护个人信息及财产安全,合理判断,谨慎选购商品,商家和用户对交易行为负责。对于医疗器械类产品,请先查证核实企业经营资质和医疗器械产品注册证情况。
文献和实验() #交换 x 轴和 y 轴> p + ylim(0,15) #如果想截取某一段可以用此命令设置值域。> p + scale_x_continuous(breaks =seq(18,34,50) ) #设置刻度线位置> p + theme(axis.text.x = element_text(angle = 90,family = "Times",face = "italic",colour = "darkred",size=rel(0.9))) # angle = 90 设置字体角度, family
RNA in situ protocol for DNA and RNA probes
for riboprobes) for 24-48 hrs. 16) Wash the embryos 4-5x in 1 ml of 48oC (55oC for riboprobes) hybridization buffer. For best results, the final wash should go overnight. 17) Rinse the embryos 1x with 50% hybridization buffer: 50% PBT, and 4x with room
RNA in situ protocol for DNA and RNA probes
, then 3x with EtOH, 1x with methanol, 1x with 50% methanol: 50% postfix, and 1x with postfix. 8) Postfix the embryos for twenty min. 9) Wash the embryos 3x with PBT. 10) Incubate for 3-5 min. with 50 ug/ml proteinase K in PBT**. **When using
技术资料暂无技术资料 索取技术资料









