相关产品推荐更多 >
万千商家帮你免费找货
0 人在求购买到急需产品
- 详细信息
- 技术资料
- 库存:
18
- 英文名:
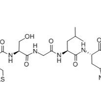
HIS-MET-ARG-SER-ALA-MET-SER-GLY-LEU-HIS-LEU-VAL-LYS-ARG-ARG
- CAS号:
125911-68-4
- 保质期:
2年
- 供应商:
上海联迈生物工程有限公司
- 保存条件:
-20°C
- 规格:
1mg
125911-68-4/ SAMS PEPTIDE , 98%
- 英文名:
- HIS-MET-ARG-SER-ALA-MET-SER-GLY-LEU-HIS-LEU-VAL-LYS-ARG-ARG
- 别名:
- 萨姆斯肽;(SER76,ARG86,87)-ACC-ALPHA (73-87) (DEPHOSPHORYLATED) (E COLI, RAT);(SER76,ARG86,87)-ACETYL-COA CARBOXYLASE 1 (73-87) (DEPHOSPHORYLATED) (E COLI, RAT);(SER77,ARG87,88)-ACC-ALPHA (74-88) (DEPHOSPH
- CAS号:
- 125911-68-4
- 分子式:
- C74H131N29O18S2
- 分子量:
- 1779.15

- 提示:详情请下载说明书。
- 储存条件: -20°C
- 用途: 本品仅供科研,不得用于其它用途。
- 注意:部分产品我司仅能提供部分信息,我司不保证所提供信息的权威性,仅供客户参考交流研究之用。
风险提示:丁香通仅作为第三方平台,为商家信息发布提供平台空间。用户咨询产品时请注意保护个人信息及财产安全,合理判断,谨慎选购商品,商家和用户对交易行为负责。对于医疗器械类产品,请先查证核实企业经营资质和医疗器械产品注册证情况。
技术资料暂无技术资料 索取技术资料
125911-68-4/ SAMS PEPTIDE , 98%
¥800 - 2350









