相关产品推荐更多 >
万千商家帮你免费找货
0 人在求购买到急需产品
- 详细信息
- 文献和实验
- 技术资料
- 库存:
18
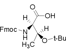
- 英文名:
Fmoc-D-Thr(tBu)-OH
- CAS号:
138797-71-4
- 保质期:
2年
- 供应商:
上海联迈生物工程有限公司
- 保存条件:
2-8℃
- 规格:
1g
- 英文名:
- Fmoc-D-Thr(tBu)-OH
- 别名:
- FMOC-O-叔丁基-D-苏氨酸;Fmoc-O-tert-butyl-D-threonine; AmbotzFAA1509; Fmoc-D-Thr(tBu)-OH;
- CAS号:
- 138797-71-4
- 分子式:
- C23H27NO5
- 分子量:
- 397.46

- 熔点: -130℃
- 沸点: 581.7℃ at 760 mmHg
- 外观: 浅黄色粉末
- 储存条件: 2-8℃
- 注意:部分产品我司仅能提供部分信息,我司不保证所提供信息的权威性,仅供客户参考交流研究之用。
风险提示:丁香通仅作为第三方平台,为商家信息发布提供平台空间。用户咨询产品时请注意保护个人信息及财产安全,合理判断,谨慎选购商品,商家和用户对交易行为负责。对于医疗器械类产品,请先查证核实企业经营资质和医疗器械产品注册证情况。
文献和实验【共享】【实验室新手必看】分子生物及基因工程实验操作视频(可下载及在线观看)
.com/d/12b239146091fdb90b0c3b71cce3ef3dd186339a039a7701 3.PCR产物的提纯.wmv http://d.namipan.com/d/7c9f129943997592dfd4c72ca571418fafe6c3f39d239001 4.DNA的Southern转移.wmv http://d.namipan.com/d/0088f3174c8b1c5fb9552f210e33754b173aad895b1e0902 5.表达
the probe stay for 1.5 hrs RT for complete erythrocyte lysis Count platelets under a phase contrast microscope at x400 magnification using Neubauer hemocytometer SOLUTIONS The Unopette Reservoir
viral immunity pathogenesis group
the probe stay for 1.5 hrs RT for complete erythrocyte lysis Count platelets under a phase contrast microscope at x400 magnification using Neubauer hemocytometer SOLUTIONS The Unopette Reservoir
技术资料暂无技术资料 索取技术资料










