相关产品推荐更多 >
万千商家帮你免费找货
0 人在求购买到急需产品
- 详细信息
- 技术资料
- 库存:
18
- 英文名:
Trimethyl orthovalerate
- CAS号:
13820-09-2
- 保质期:
2年
- 供应商:
上海联迈生物工程有限公司
- 保存条件:
2-8℃
- 规格:
5g
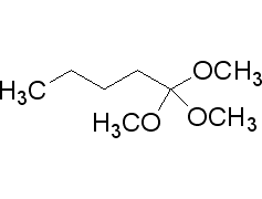
13820-09-2/原戊酸三甲酯
- 英文名:
- Trimethyl orthovalerate
- 别名:
- 三甲基;;triethyl orthovalerate; Pentane,1,1,1-trimethoxy; Orthovaleric Acid Trimethyl Ester; 1,1,1-trimethoxy-pentane; trimethyl orthovalerate; orthovaleric methyl ester; Orthova
- CAS号:
- 13820-09-2
- 分子式:
- C8H18O3
- 分子量:
- 162.23
- MDL:
- MFCD00008481

- 沸点: 164-166℃
- 外观: 透明无色液体
- 敏感性: 易吸潮
- 储存条件: RT
风险提示:丁香通仅作为第三方平台,为商家信息发布提供平台空间。用户咨询产品时请注意保护个人信息及财产安全,合理判断,谨慎选购商品,商家和用户对交易行为负责。对于医疗器械类产品,请先查证核实企业经营资质和医疗器械产品注册证情况。
技术资料暂无技术资料 索取技术资料
13820-09-2/原戊酸三甲酯
¥700 - 2730









