相关产品推荐更多 >
万千商家帮你免费找货
0 人在求购买到急需产品
- 详细信息
- 文献和实验
- 技术资料
- 库存:
18
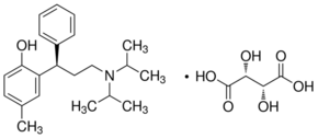
- 英文名:
Tolterodine tartrate
- CAS号:
124937-52-6
- 保质期:
2年
- 供应商:
上海联迈生物工程有限公司
- 保存条件:
2-8℃
- 规格:
10MG
- 英文名:
- Tolterodine tartrate
- 别名:
- 酒石酸托特罗定
- CAS号:
- 124937-52-6
- 分子式:
- C22H31NO.C4H6O6
- 分子量:
- 475.57
- MDL:
- MFCD07771985

- 介绍: Tolterodine tartrate是Tolterodine的酒石酸盐形式,是一种竞争性的毒蕈碱型乙酰胆碱受体拮抗剂。
- 熔点: 205-210℃
- 沸点: 213-215℃
- 外观: 白色至类白色粉末
- 溶解性: Soluble in water (0.012 mg/ml), DMSO (≥20 mg/ml), methanol, and ethanol (6 mg/ml)
- 储存条件: 2-8℃
- 用途: A muscarinic receptor antagonist.
- 注意:部分产品我司仅能提供部分信息,我司不保证所提供信息的权威性,仅供客户参考交流研究之用。
风险提示:丁香通仅作为第三方平台,为商家信息发布提供平台空间。用户咨询产品时请注意保护个人信息及财产安全,合理判断,谨慎选购商品,商家和用户对交易行为负责。对于医疗器械类产品,请先查证核实企业经营资质和医疗器械产品注册证情况。
文献和实验网络 第三节 秩和检验 用秩号代替原始数据后,所得某些秩号之和,称为秩和,用秩和进行假设检验即为秩和检验。其检验假设在两组比较(成对或不成对)时,H 0 :F(X 1 )=F(X 2 ),即两总体的分布函数相等,备择假设H 1 :F(X 1
the probe stay for 1.5 hrs RT for complete erythrocyte lysis Count platelets under a phase contrast microscope at x400 magnification using Neubauer hemocytometer SOLUTIONS The Unopette Reservoir
viral immunity pathogenesis group
the probe stay for 1.5 hrs RT for complete erythrocyte lysis Count platelets under a phase contrast microscope at x400 magnification using Neubauer hemocytometer SOLUTIONS The Unopette Reservoir
技术资料暂无技术资料 索取技术资料









