相关产品推荐更多 >
万千商家帮你免费找货
0 人在求购买到急需产品
- 详细信息
- 技术资料
- 库存:
18
- 英文名:
Tannic acid
- CAS号:
1401-55-4
- 保质期:
2年
- 供应商:
上海联迈生物工程有限公司
- 保存条件:
RT
- 规格:
250g
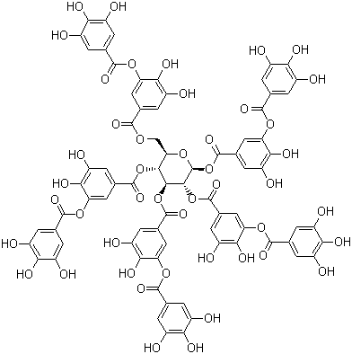
1401-55-4/ 丹宁酸 ,AR
- 英文名:
- Tannic acid
- 别名:
- 单宁酸
- CAS号:
- 1401-55-4
- 分子式:
- C76H52O46
- 分子量:
- 1701.2
- MDL:
- MFCD00066397

- 熔点: 218 ℃ (分解)
- 外观: 黄色粉末
- 溶解性: 易溶乙醇、丙
- 敏感性: 对光敏感
- 储存条件: RT
- 用途: 铍、铝、镓、铟、铌、钽和锆的沉淀和重量测定。铜、铁、钒、铈和钴的比定测定。蛋白质及生物碱的沉淀剂。钼酸铵滴定铅时的外指示剂。用于鉴别。
- 注意:部分产品我司仅能提供部分信息,我司不保证所提供信息的权威性,仅供客户参考交流研究之用。
风险提示:丁香通仅作为第三方平台,为商家信息发布提供平台空间。用户咨询产品时请注意保护个人信息及财产安全,合理判断,谨慎选购商品,商家和用户对交易行为负责。对于医疗器械类产品,请先查证核实企业经营资质和医疗器械产品注册证情况。
技术资料暂无技术资料 索取技术资料
1401-55-4/ 丹宁酸 ,AR
¥100 - 288








