相关产品推荐更多 >
万千商家帮你免费找货
0 人在求购买到急需产品
- 详细信息
- 文献和实验
- 技术资料
- 库存:
18
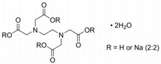
- 英文名:
EDTA-2Na
- CAS号:
6381-92-6
- 保质期:
2年
- 供应商:
上海联迈生物工程有限公司
- 保存条件:
RT
- 规格:
250g
- 英文名:
- EDTA-2Na
- 别名:
- 四乙酸二氨基乙烯二钠盐;托立龙B;氨羧络合剂III;螯合剂III;络合酮II;EDTA二钠
- CAS号:
- 6381-92-6
- 分子式:
- C10H18N2Na2O10
- 分子量:
- 372.24
- MDL:
- MFCD00150037

- 介绍:
每瓶安瓿可稀释成一升的滴定液
- 熔点: 252℃
- 外观: 白色结晶
- 敏感性: 易吸潮
- 储存条件: RT
- 用途: 络合剂,钙、镁及其他金属试剂,金属掩蔽剂。乙二四乙酸二钠是一种重要络合剂,用于络合金属离子和分离金属。
- 注意:部分产品我司仅能提供部分信息,我司不保证所提供信息的权威性,仅供客户参考交流研究之用。
风险提示:丁香通仅作为第三方平台,为商家信息发布提供平台空间。用户咨询产品时请注意保护个人信息及财产安全,合理判断,谨慎选购商品,商家和用户对交易行为负责。对于医疗器械类产品,请先查证核实企业经营资质和医疗器械产品注册证情况。
文献和实验secondary antibody review -- data from 99 publications
data
张文宏团队最新论文上线:揭示上海新冠肺炎传播率下降 99%!
(2.3 %)。其他常见症状包括乏力(25.3 %)、食欲不振(11.7 %)、头痛(9.8 %)、肌痛(8.7 %)。仅 6.4 % 的患者出现腹泻,而 11 名患者入院时无症状。在重度或危重患者中发生呼吸困难的比例明显更高。所有患者入院时均接受胸部 X 光或 CT 检查。202 例(76.2 %)为双侧肺炎,51 例(19.2 %)为单侧肺炎,9 例(3.4 %)无异常。入院时,分别有 120 名(45.3 %)和 39 名(14.7 %)患者出现淋巴细胞减少和白细胞减少现象。大多数患者的血红蛋白和血小板水平
6.0,工作液)的容器中,并将此容器置于盛有一定数量自来水的大器皿中,电炉上加热煮沸,从小容器的温度到达92℃~98℃起开始计时 15~20 分钟,然后端离电炉,室温冷却 20~30 分钟,蒸馏水冲洗,PBS 洗。 3)微波热修复 切片脱蜡至水后,3% H2O2 处理 10 分钟,蒸馏水洗 2 分钟 × 3。将切片放入盛有枸橼酸盐缓冲液(工作液)的容器中,置微波炉内加热使容器内液体温度保持在 92℃~98℃ 之间并持续 10~15 分钟(注意:无论是使用医用或家用微波炉,请根据具体机型酌情设置条件,务必
技术资料暂无技术资料 索取技术资料






![935466-91-4/(1H-吡唑并[3,4-B]吡啶-4-基)甲](https://img1.dxycdn.com/2020/1128/819/5934177478804300543-14.jpg!wh200)
![132213-07-1/ 咪唑并[1,2-a]吡啶-6-甲醇 , 98%](https://img1.dxycdn.com/2020/1129/643/2011663611510710543-14.jpg!wh200)

