相关产品推荐更多 >
万千商家帮你免费找货
0 人在求购买到急需产品
- 详细信息
- 文献和实验
- 技术资料
- 库存:
18
- 英文名:
100g
- CAS号:
29932-54-5
- 供应商:
上海联迈生物工程有限公司
- 保存条件:
RT
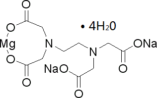
- 英文名:
- EDTA-MgNa2
- 别名:
- CAS号:
- 29932-54-5
- 分子式:
- C10H12N2O8MgNa2·4H2O
- 分子量:
- 430.56

- 储存条件: RT
- 注意:部分产品我司仅能提供部分信息,我司不保证所提供信息的权威性,仅供客户参考交流研究之用。
风险提示:丁香通仅作为第三方平台,为商家信息发布提供平台空间。用户咨询产品时请注意保护个人信息及财产安全,合理判断,谨慎选购商品,商家和用户对交易行为负责。对于医疗器械类产品,请先查证核实企业经营资质和医疗器械产品注册证情况。
文献和实验V HCl V HCl pH 0 10.44 1 9.54 2 9.26 3 9.08 3.7 8.98 5ml 8.76 6ml 8.67 10 8.4 11ml 8.22 14 8.13 13.5ml 8.06 14ml 8.04 15ml 7.97 17 7.92 16.5ml 7.82 16.7ml
/cPHLplsw+Nb7hPydnF4+iS+av/cr1q1Gs7aXsA5+rXSsnlTiCy2XJgAE0hpAn54secU8rUuEyp4iOHUDNGmuyEcLI/COVAd+pVM4XVsBWxc/1p0BLrjXUAJmHodw3IbysEiTTEQ7o7v4EXKCFlIkGQEGqqXSP75i+PdjRYWUQxQAyj+x71797B8+XK0aNkSFhSgbNXqdRA/bPr165ewSeToiO137fHoKT2ev4IjaS7MSyvj/Z5psHjuF6WvHB134
XmGDjD3x/+JOeMniY795nUg6DXakk5/8D1zjHPrPew7nwSx7EZwv5dWu52XA9/FblZ5V95CqX2X9lYGJQCFVNGCIEucMxOIT98BuwIU/iJ3VMbBfDNfLCnjIEPh+HgDzEC7iHMgdrprgWyuM61wbHG7zPtVAu6cK1IFc4DuXzy7nBbTlYnpDu1fHD8WDZyCPIyfXBeXIc6sj5wdcon3T8sgW5wzFp2SeEPNhHzsHlcS7EI
技术资料暂无技术资料 索取技术资料










