相关产品推荐更多 >
万千商家帮你免费找货
0 人在求购买到急需产品
- 详细信息
- 文献和实验
- 技术资料
- 库存:
18
- 英文名:
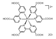
Tris(4,4'-dicarboxylicacid-2,2'-bipyridyl)rutheniuM(II) dichloride
- CAS号:
97333-46-5
- 保质期:
2年
- 供应商:
上海联迈生物工程有限公司
- 保存条件:
2-8℃
- 规格:
25mg
- 英文名:
- Tris(4,4'-dicarboxylicacid-2,2'-bipyridyl)rutheniuM(II) dichloride
- 别名:
- CAS号:
- 97333-46-5
- 分子式:
- C36H24N6O12Cl2Ru
- 分子量:
- 904.59

- 储存条件: 2-8℃
- 注意:部分产品我司仅能提供部分信息,我司不保证所提供信息的权威性,仅供客户参考交流研究之用。
风险提示:丁香通仅作为第三方平台,为商家信息发布提供平台空间。用户咨询产品时请注意保护个人信息及财产安全,合理判断,谨慎选购商品,商家和用户对交易行为负责。对于医疗器械类产品,请先查证核实企业经营资质和医疗器械产品注册证情况。
文献和实验磁珠偶联链霉亲和素(SA)和抗体的实验方法及偶联实验过程中的一些注意事项。 一、羧基磁珠偶联链霉亲和素(SA)和抗体的原理 EDC通过与磁珠上的羧基进行反应,形成一种促发剂——不稳定的脲衍生物,NHS通过形成更稳定的酯而增强碳二亚胺交联产物的稳定性。交联过程中EDC、NHS不进入最终产物中,而是转变成水溶性的脲衍生物。 二、羧基磁珠偶联链霉亲和素(SA) 1. 偶联条件 1.1. 活化剂:EDC和NHS 1.2. 反应温度:37℃环境 1.3. 反应时间:
测定,而且还可用于DNA/RNA探针检测。 二、反应底物 ECL 反应底物有两种: ·三氯联吡啶钌[Ru(bpy) 3 ] 2+ 络合物: 钌(Ruthenium, Ru),原子序数44,原子量101.07。元素名来自拉丁文,原意是“俄罗斯”。1827年俄国化学家奥赞在铂矿中发现钌;1844年俄国化学家克劳斯肯定它是一种新元素。钌在地壳中的含量约为十亿分之一,是铂系元素中含量最少的一个。钌常与其它铂系
云密度降低,有利于氢的离解,故羧酸的酸性强于醇。 经X射对甲酸根离子的测定表明,它的两个碳氧键的键长都是0.127 nm 。这说明氢以质子形式脱离羧基后,p-π共轭作用更完全,发生了键的平均化。这样,-COO-上的负电荷不再集中于一个氧原子,而是平均分配在两个氧上,所以羧酸根离子更稳定. 根据羧酸的构造,它可以发生如下反应。 (一)酸性 羧酸在水中可离解出质子而显酸性,其pKa值一般为4-5,属于弱酸。
技术资料暂无技术资料 索取技术资料










