相关产品推荐更多 >
万千商家帮你免费找货
0 人在求购买到急需产品
- 详细信息
- 文献和实验
- 技术资料
- 库存:
18
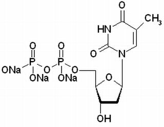
- 英文名:
dTDP,3Na
- CAS号:
95648-78-5
- 保质期:
2年
- 供应商:
上海联迈生物工程有限公司
- 保存条件:
-20℃
- 规格:
25mg
- 英文名:
- dTDP,3Na
- 别名:
- CAS号:
- 95648-78-5
- 分子式:
- C10H13N2Na3O11P2
- 分子量:
- 468.13
- MDL:
- MFCD00084748

- 敏感性: 对热敏感,易吸潮
- 储存条件: -20℃
- 注意:部分产品我司仅能提供部分信息,我司不保证所提供信息的权威性,仅供客户参考交流研究之用。
风险提示:丁香通仅作为第三方平台,为商家信息发布提供平台空间。用户咨询产品时请注意保护个人信息及财产安全,合理判断,谨慎选购商品,商家和用户对交易行为负责。对于医疗器械类产品,请先查证核实企业经营资质和医疗器械产品注册证情况。
文献和实验Pi % = mi /(m)×100% = Aif ′i / (A1f 1′1+A2f 2′2+…+Anf n′)×100% 式中:Pi—i组分的百分含量 mi—被测组分i的量; m—被测物试样的总重量; Ai—i组分峰面积; f ′i—相对校正因子 相对校正因子f ′i,即为物质i和标准物质S的绝对校正因子(fi /fs)之比,其定义:是被测物质单位
项目 单位 X±SD 样本数 参考
will not grow in Schneider's medium from Sigma] 50 ml Fetal Bovine Serum (JRH #12103-78P) - Heat Inactivated (aliquoted in -20) 5 ml 1:100 Penicillin-Streptomycin (Gibco #15070-063) (aliquoted in -20) Sterile filter (0.2 µ) Store at 4o C
技术资料暂无技术资料 索取技术资料










