相关产品推荐更多 >
万千商家帮你免费找货
0 人在求购买到急需产品
- 详细信息
- 技术资料
- 库存:
18
- 英文名:
UDPG
- CAS号:
28053-08-9
- 保质期:
2年
- 供应商:
上海联迈生物工程有限公司
- 保存条件:
-20℃,充氮保存
- 规格:
25mg
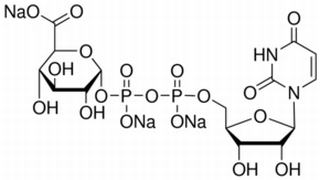
28053-08-9/ 尿苷二磷酸葡萄糖, 生物技术级,98%
- 英文名:
- UDPG
- 别名:
- 尿苷-5ˊ-二磷酸葡糖二钠盐;葡萄糖-5ˊ-二磷酸尿苷二钠盐;二磷酸尿苷葡萄糖二钠盐;UDPG
- CAS号:
- 28053-08-9
- 分子式:
- C15H22N2Na2O17P2 · xH2O
- 分子量:
- 610.27
- MDL:
- MFCD20441966

- 敏感性: 易吸潮
- 储存条件: -20℃,充氮保存
- 注意:部分产品我司仅能提供部分信息,我司不保证所提供信息的权威性,仅供客户参考交流研究之用。
风险提示:丁香通仅作为第三方平台,为商家信息发布提供平台空间。用户咨询产品时请注意保护个人信息及财产安全,合理判断,谨慎选购商品,商家和用户对交易行为负责。对于医疗器械类产品,请先查证核实企业经营资质和医疗器械产品注册证情况。
技术资料暂无技术资料 索取技术资料
28053-08-9/ 尿苷二磷酸葡萄糖, 生物技术级,98%
¥240 - 1050









