相关产品推荐更多 >
万千商家帮你免费找货
0 人在求购买到急需产品
- 详细信息
- 文献和实验
- 技术资料
- 库存:
18
- 英文名:
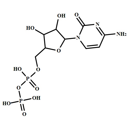
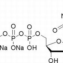
5′-CTP,2Na
- CAS号:
36051-68-0
- 保质期:
2年
- 供应商:
上海联迈生物工程有限公司
- 保存条件:
-20℃
- 规格:
100mg
- 英文名:
- 5′-CTP,2Na
- 别名:
- 5-胞嘧啶核苷三磷酸二钠盐;胞苷-5′-三磷酸二钠盐;5′-三磷酸胞苷二钠盐
- CAS号:
- 36051-68-0
- 分子式:
- C9H14N3Na2O14P3
- 分子量:
- 527.12
- MDL:
- MFCD00078193

- 介绍: 易溶于水,不溶于乙醇。在pH2条件下A250/A260 =0·40-0·55; A280/A260 =2·00-2·20; λmax=280±1nm。
- 外观: 固体
- 敏感性: 易吸潮
- 储存条件: -20℃
- 用途: P2X4嘌呤受体激动剂。
- 注意:部分产品我司仅能提供部分信息,我司不保证所提供信息的权威性,仅供客户参考交流研究之用。
风险提示:丁香通仅作为第三方平台,为商家信息发布提供平台空间。用户咨询产品时请注意保护个人信息及财产安全,合理判断,谨慎选购商品,商家和用户对交易行为负责。对于医疗器械类产品,请先查证核实企业经营资质和医疗器械产品注册证情况。
文献和实验g氢氧化钠,溶于水中,再加入4g亚铁氰化钾,完全溶解后,用水稀释至1000ml,贮存于橡胶塞玻璃瓶内。 3、 乙酸锌溶液:称取21.9g乙酸锌,加3ml冰乙酸,加水溶解并稀释至100ml。 4、 10.6%亚铁氰化钾溶液。 5、 盐酸、6mol/L盐酸、20%氢氧化钠 6、 葡萄糖标准溶液:精密称取1.000g经过98~100℃干燥至恒量的纯葡萄糖,加水溶解后加入5ml盐酸,并以水稀释至1000ml。此溶液每毫升相当于1mg葡萄糖。 三
/L 磷酸盐缓冲液 (pH 7.4)磷酸氢二钠 (Na2 HPO4,28.4 g/L)440 mL, 磷酸二氢钠 (NaH2PO4·H2O,27.6 g/L)60 mL,调 pH 至 7.4,0.103 MPa 20 min 灭菌或滤菌。1.2.1.3 辅酶-Ⅱ(氧化型) 溶液无菌条件下称取辅酶-Ⅱ,用无菌蒸馏水溶解配制成 0.025mol/L 溶液,现用现配。 1.2.1.4 葡萄糖- 6 -磷酸钠盐溶液称取葡萄糖- 6 磷酸钠盐, 用蒸馏水溶解配制成 0.05 mol/L 溶液,过滤灭菌。现用
)。4.培养时间。200ul的培养液对于10的4~5次方的增殖期细胞来说,很难维持68h,如果营养不够的话,细胞会由增殖期渐渐趋向G0期而趋于静止,影响结果,我们是在48h换液的。5.MTT法只能测定细胞相对数和相对活力,不能测定细胞绝对数。做MTT时,尽量无菌操作,因为细菌也可以导致MTT比色OD值的升高。6.理论未必都是对的。要根据自己的实际情况调整。7.实验时应设置调零孔,对照孔,加药孔。调零孔加培养基、MTT、二甲基亚砜。对照孔和加药孔都要加细胞、培养液、MTT、二甲基亚砜,不同的是对照孔加溶解
技术资料暂无技术资料 索取技术资料










