相关产品推荐更多 >
万千商家帮你免费找货
0 人在求购买到急需产品
- 详细信息
- 技术资料
- 库存:
18
- 英文名:
Betaine hydrochloride
- CAS号:
590-46-5
- 保质期:
2年
- 供应商:
上海联迈生物工程有限公司
- 保存条件:
RT
- 规格:
100g
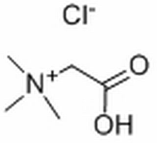
590-46-5/ 盐酸甜菜碱 , 超纯,99%
- 英文名:
- Betaine hydrochloride
- 别名:
- 甘氨酸三内盐
- CAS号:
- 590-46-5
- 分子式:
- C5H11NO2HCl
- 分子量:
- 153.61
- MDL:
- MFCD00011903

- 熔点: 241-242℃
- 比旋光度: -29.51 (H2O)
- 外观: 白色结晶
- 溶解性: 易溶于水64.7 g/100 mL (25°C)、乙醇,难溶于
- 敏感性: 易吸潮
- 储存条件: RT
- 用途: 有机合成。焊接。树脂处理
- 注意:部分产品我司仅能提供部分信息,我司不保证所提供信息的权威性,仅供客户参考交流研究之用。
风险提示:丁香通仅作为第三方平台,为商家信息发布提供平台空间。用户咨询产品时请注意保护个人信息及财产安全,合理判断,谨慎选购商品,商家和用户对交易行为负责。对于医疗器械类产品,请先查证核实企业经营资质和医疗器械产品注册证情况。
技术资料暂无技术资料 索取技术资料
590-46-5/ 盐酸甜菜碱 , 超纯,99%
¥50 - 140









