相关产品推荐更多 >
万千商家帮你免费找货
0 人在求购买到急需产品
- 详细信息
- 技术资料
- 库存:
18
- 英文名:
Phosphomycin disodium salt
- CAS号:
26016-99-9
- 保质期:
2年
- 供应商:
上海联迈生物工程有限公司
- 保存条件:
2-8℃
- 规格:
1g
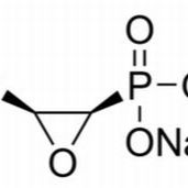
26016-99-9/ 磷霉素钠 , USP级,720IU/mg
- 英文名:
- Phosphomycin disodium salt
- 别名:
- CAS号:
- 26016-99-9
- 分子式:
- C3H5Na2O4P
- 分子量:
- 182.02
- MDL:
- MFCD22741288

- 储存条件: 2-8℃,避光
- 用途: Phosphomycin, also known as Fosfomycin, is an antibiotic produced by Streptomyces fradiae. It is used to treat uncomplicated urinary tract infections and to reduce nephrotoxicity and ototoxicity of platinum-containing anti-tumor agents. It is used fo
- 注意:部分产品我司仅能提供部分信息,我司不保证所提供信息的权威性,仅供客户参考交流研究之用。
风险提示:丁香通仅作为第三方平台,为商家信息发布提供平台空间。用户咨询产品时请注意保护个人信息及财产安全,合理判断,谨慎选购商品,商家和用户对交易行为负责。对于医疗器械类产品,请先查证核实企业经营资质和医疗器械产品注册证情况。
技术资料暂无技术资料 索取技术资料
26016-99-9/ 磷霉素钠 , USP级,720IU/mg
¥30 - 300









