相关产品推荐更多 >
万千商家帮你免费找货
0 人在求购买到急需产品
- 详细信息
- 文献和实验
- 技术资料
- 库存:
18
- 英文名:
ADPG
- CAS号:
102129-65-7
- 保质期:
2年
- 供应商:
上海联迈生物工程有限公司
- 保存条件:
-20℃
- 规格:
5mg
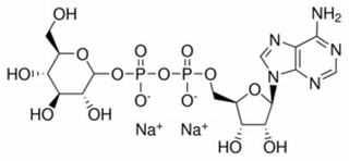
- 英文名:
- ADPG
- 别名:
- 腺苷5'-二磷酸葡糖二钠;ADPG
- CAS号:
- 102129-65-7
- 分子式:
- C16H23N5Na2O15P2
- 分子量:
- 633.31
- MDL:
- MFCD00056005

- 外观: 白色粉末或结晶
- 敏感性: 易吸潮
- 储存条件: -20℃
- 注意:部分产品我司仅能提供部分信息,我司不保证所提供信息的权威性,仅供客户参考交流研究之用。
风险提示:丁香通仅作为第三方平台,为商家信息发布提供平台空间。用户咨询产品时请注意保护个人信息及财产安全,合理判断,谨慎选购商品,商家和用户对交易行为负责。对于医疗器械类产品,请先查证核实企业经营资质和医疗器械产品注册证情况。
文献和实验质芯片检测。此外,肽芯片或基于质谱的方法[ 20,21] 也可以用于这方面。 我们在此介绍基于蛋白质芯片技术的蛋白磷酸化筛选方法和高通量确定蛋白激酶底物的方法。我们已成功地用这种筛选工具鉴定大麦酪蛋白激酶 2α ( CK 2α) 和不同的拟南芥丝裂原活化蛋白(MAP) 激酶 [23] 的新靶标。我们这个方法使用本书第 28 章详细描述的植物蛋白质芯片(见第 28 章)。在放射性【 γ33 磷】三磷酸腺苷存在的条件下,用可溶和具有活性的激酶孵育芯片。通过磷屏成像仪或 X 射线胶片检测到的放射性信号,对可能
lysis buffer (high salt) ) 2 x 1 ml CHIP wash buffer 2 x 1 ml TE elute immunoprecipitations: add 75 µl elution buffer incubate for 10 min at 65 °C spin, take supernatant, elute pellet again with 75 µl
4.93 4.47 4.49 t-t' 0 3.17 6.00 9.00 12.00 In(X/X') 0 0.656 0.843 1.165
技术资料暂无技术资料 索取技术资料








