相关产品推荐更多 >
万千商家帮你免费找货
0 人在求购买到急需产品
- 详细信息
- 文献和实验
- 技术资料
- 库存:
18
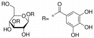
- 英文名:
1,3,6-Tri-O-galloyl-β-D-glucose
- CAS号:
18483-17-5
- 保质期:
2年
- 供应商:
上海联迈生物工程有限公司
- 保存条件:
2-8℃
- 规格:
5mg
- 英文名:
- 1,3,6-Tri-O-galloyl-β-D-glucose
- 别名:
- β-D-Glucopyranose 1,3,6-trigallate β-D-Glucopyranose-1,3,6-tris(3,4,5-trihydroxybenzoate 1,3,6-Tri-O-galloyl-β-D-glucopyranose NP 005114 NSC 69861
- CAS号:
- 18483-17-5
- 分子式:
- C27H24O18
- 分子量:
- 636.47
- MDL:
- MFCD06656305

- 沸点: 1103.6℃ at 760mmHg
- 储存条件: 2-8℃
- 注意:部分产品我司仅能提供部分信息,我司不保证所提供信息的权威性,仅供客户参考交流研究之用。
风险提示:丁香通仅作为第三方平台,为商家信息发布提供平台空间。用户咨询产品时请注意保护个人信息及财产安全,合理判断,谨慎选购商品,商家和用户对交易行为负责。对于医疗器械类产品,请先查证核实企业经营资质和医疗器械产品注册证情况。
文献和实验Naito, S. and Shimamoto, K. (2000) Post-transcriptional gene silencing in cultured rice cells.Plant Cell Physiol. 4 1 , 321 -3 26 . 3. F ire, A ., X u , S. Q ., M ontgomery, M. K ., K o stas, S. A ., D river, S. E. and
是,芳香核心的去垢剂(例如 C89 ) 显示去油脂效果不佳,但可有效打破蛋白质聚合「5,27] 。相比之下,线性去垢剂(例如 ASB14 ) 可有效地去油脂,但不能打破蛋白质的聚合在一个优化的步骤中,疏水颗粒的蛋白质溶解于尿素、硫脲和去垢剂同时存在的溶液里,可以是 β-dodecylmatoside 或 ASB14 ( 表 11-8 和图 11-5)。第 12 章对疏水蛋白质溶解步骤进行标准评价。参考文献 1. Hodges, T. K. and Mills, D. (1986
phosphorlation):ADP或某些其它的核苷-5′-二磷酸的磷酸化是通过来自一个非核苷酸底物的磷酰基的转移实现的。这种磷酸化与电子的转递链无关。 5,柠檬酸循环(citric acid cycle):也称为三羧酸循环(TAC),Krebs循环。是用于乙酰CoA中的乙酰基氧化成CO2的酶促反应的循环系统,该循环的第一步是由乙酰CoA经草酰乙酸缩合形成柠檬酸。 6,回补反应(anaplerotic reaction):酶催化的,补充柠檬酸循环中间代谢物供给的反应,例如由丙酮酸羧化酶生成草酰乙酸的反应
技术资料暂无技术资料 索取技术资料










