相关产品推荐更多 >
万千商家帮你免费找货
0 人在求购买到急需产品
- 详细信息
- 文献和实验
- 技术资料
- 库存:
18
- 英文名:
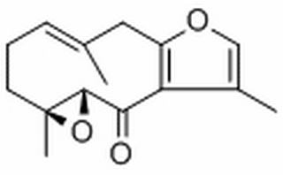
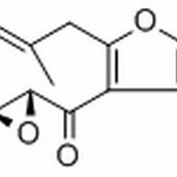
Zederone
- CAS号:
7727-79-9
- 保质期:
2年
- 供应商:
上海联迈生物工程有限公司
- 保存条件:
2-8℃
- 规格:
5mg
7727-79-9/ Zederone, 分析标准品,HPLC≥97%
- 英文名:
- Zederone
- 别名:
- CAS号:
- 7727-79-9
- 分子式:
- C15H18O3
- 分子量:
- 246.305

- 熔点: 153.5-154℃
- 比旋光度: +265.8 (c, 0.5 in CHCl3)
- 储存条件: 2-8℃
- 用途: 抑制革兰氏阳性菌活性
- 注意:部分产品我司仅能提供部分信息,我司不保证所提供信息的权威性,仅供客户参考交流研究之用。
风险提示:丁香通仅作为第三方平台,为商家信息发布提供平台空间。用户咨询产品时请注意保护个人信息及财产安全,合理判断,谨慎选购商品,商家和用户对交易行为负责。对于医疗器械类产品,请先查证核实企业经营资质和医疗器械产品注册证情况。
文献和实验相关实验
【信息】Northstar BioProducts(NSBP)
eliminase), EC 4.2.2.5 0.1 unit Specific Activity: ≥200 IU/mg. Purity > 90% (HPLC) pl: 9.0-9.1. M.W.: 79,557 (LC-MS) 50-014 Chondroitinase B (Chondroitin B eliminase) 0.5 unit 50-140 Chondroitinase B (Chondroitin B eliminase) 0.1 unit
技术资料暂无技术资料 索取技术资料
7727-79-9/ Zederone, 分析标准品,HPLC≥97%
¥3000









