相关产品推荐更多 >
万千商家帮你免费找货
0 人在求购买到急需产品
- 详细信息
- 文献和实验
- 技术资料
- 库存:
18
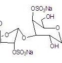
- 英文名:
Iota-Carradecaitol-Decasulfate Decasodium Salt
- 保质期:
2年
- 供应商:
上海联迈生物工程有限公司
- 保存条件:
2-8℃
- 规格:
10mg
- 英文名:
- Iota-Carradecaitol-Decasulfate Decasodium Salt
- 别名:
- 分子式:
- C60H84O72S10Na10
- 分子量:
- 2507.81

- 外观: 粉末
- 储存条件: 2-8℃
- 注意:部分产品我司仅能提供部分信息,我司不保证所提供信息的权威性,仅供客户参考交流研究之用。
风险提示:丁香通仅作为第三方平台,为商家信息发布提供平台空间。用户咨询产品时请注意保护个人信息及财产安全,合理判断,谨慎选购商品,商家和用户对交易行为负责。对于医疗器械类产品,请先查证核实企业经营资质和医疗器械产品注册证情况。
文献和实验HBsAg 的复钙人血浆,阳性对照品 HBsAg 的含量标明为 P=9±2ng /ml。每次试验设 2 个阳性对照和 3 个阴性对照。测得A值后,先计算阴性对照A值的平均数(NC X )和阳性对照A值的平均数(PCX),两个平均数的差(P-N)必须大于一个特定的数值(例0.400),试验才有效。3 个阴性对照 A 值均应≥0.5×NCX,并 ≤1.5×NCX,如其中之一超出此范围,则弃去,而已另两个阴性对照重新计算 NCX;如有两个阴性对照 A值超出以上范围,则该次实验无效。阳性判定值按下式计算: 阳性
【信息】Northstar BioProducts(NSBP)
I (Heparin lyase, Heparin eliminase, Heparitinase III), EC 4.2.2.7 0.5 unit 50-100 Heparinase I (Heparin lyase, Heparin eliminase, Heparitinase III), EC 4.2.2.7 0.1 unit Frozen liquid. Specific Activity: ≥100 IU/mg Purity ≥95% (HPLC, SDS
6 X-48384,r=0.9990,表明进样量在0.49~1.96μg范围内时与峰面积积分值呈良好的 线性关系. A:对照品溶液;B:供试品溶液;C:阴性对照品溶液 图1 对照品、供试品及阴性对照品溶液色谱图 2.7 精密度试验 分别精密吸取淫羊藿甙对照品溶液20μL,重复进样5次,测定峰面积积分值,结果见淫羊藿甙峰面积积分值分别为2806654,1689130,2785092,2706679,2751351,RSD为1.82%,表明本实验所使用仪器精密度良好
技术资料暂无技术资料 索取技术资料









