相关产品推荐更多 >
万千商家帮你免费找货
0 人在求购买到急需产品
- 详细信息
- 文献和实验
- 技术资料
- 库存:
18
- 英文名:
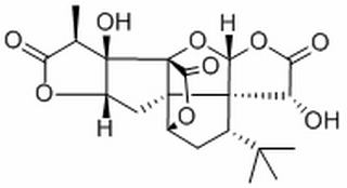
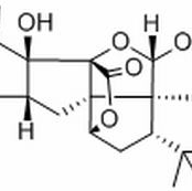
Ginkgolide A
- CAS号:
15291-75-5
- 保质期:
2年
- 供应商:
上海联迈生物工程有限公司
- 保存条件:
-20℃
- 规格:
20mg
- 英文名:
- Ginkgolide A
- 别名:
- 白果苦内酯 A; 银杏内酯A;;gingkolide A; GINKGOBILOBAP.E.; Ginkgolid A; GINKGOLIDE A FROM GINKGO LEAVES; GINKGOLIDE A,GINKGO BILOBA L; GinkgolideA; ginkgolide a from ginkgo biloba leaves; PRIMULIC ACID 1; BN 520
- CAS号:
- 15291-75-5
- 分子式:
- C20H24O9
- 分子量:
- 408.404
- MDL:
- MFCD00133365

- 熔点: 280℃
- 沸点: 710.1℃ at 760 mmHg
- 比旋光度: -39 (c, 1 in dioxan)
- 外观: 类白色结晶性粉末
- 储存条件: -20℃
- 用途: 抗氧化剂
- 注意:部分产品我司仅能提供部分信息,我司不保证所提供信息的权威性,仅供客户参考交流研究之用。
风险提示:丁香通仅作为第三方平台,为商家信息发布提供平台空间。用户咨询产品时请注意保护个人信息及财产安全,合理判断,谨慎选购商品,商家和用户对交易行为负责。对于医疗器械类产品,请先查证核实企业经营资质和医疗器械产品注册证情况。
文献和实验Liquid Chromatography,HSLP)。也称现代液相色谱。 二、HPLC的特点和优点 HPLC有以下特点: 高压—压力可达150~300Kg/cm2。色谱柱每米降压为75 Kg/cm2以上。 高速—流速为0.1~10.0 ml/min。 高效—可达5000塔板每米。在一根柱中同时分离成份可达100种。 高灵敏度—紫外检测器灵敏度可达0.01ng。同时消耗样品少。 HPLC与经典液相色谱相比有以下优点: 速度快—通常分析一个样品在15~30 min,有些样品甚至在5 min
: 高压――压力可达150~300 Kg/cm2。色谱柱每米降压为75 Kg/cm2以上。 高速――流速为0.1~10.0 ml/min。 高效――可达5000塔板每米。在一根柱中同时分离成份可达100种。 高灵敏度――紫外检测器灵敏度可达0.01ng。同时消耗样品少。 HPLC与经典液相色谱相比有以下优点: 速度快――通常分析一个样品在15~30 min,有些样品甚至在5 min内即可完成。 分辨率高――可选择固定相和流动相以达到最佳分离
,小颗粒具有高柱效,但会引起高阻力,需用高压输送流动相,故又称高压液相色谱法(High Pressure Liquid Chromatography,HPLC)。又因分析速度快而称为高速液相色谱法(High Speed Liquid Chromatography,HSLP)。也称现代液相色谱。 二、HPLC的特点和优点 HPLC有以下特点: 高压――压力可达150~300 Kg/cm2。色谱柱每米降压为75 Kg/cm2以上。 高速――流速为0.1~10.0 ml/min
技术资料暂无技术资料 索取技术资料









