相关产品推荐更多 >
万千商家帮你免费找货
0 人在求购买到急需产品
- 详细信息
- 文献和实验
- 技术资料
- 库存:
大量
- 英文名:
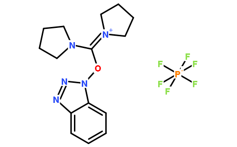
HBPYU;(Benzotriazol-1-yloxy)dipyrrolidinocarbenium hexafluorophosphate;O-(Benzotriazol-1-yl)-N,N,N',N'-bis(tetramethylene)uronium hexafluorophosphate
- CAS号:
105379-24-6
- 保质期:
2年
- 供应商:
上海联迈生物工程有限公司
- 保存条件:
RT
- 规格:
瓶
| 产品编号] | LM1291Q |
| [CAS号] | 105379-24-6 |
| [规格] | 试剂级,98% |
| [包装] | 250毫克/1克/5克 |
| [到货期] | 2-3天 |
CAS号:105379-24-6
C15H20F6N5OP=431.32 级别:试剂级
含量:≥98%
熔点:≥176℃
性状(以下信息仅供参考):白色或类白色粉末。溶于乙
用途:本品仅供科研,不得用于其它用途
保存:2~8℃
风险提示:丁香通仅作为第三方平台,为商家信息发布提供平台空间。用户咨询产品时请注意保护个人信息及财产安全,合理判断,谨慎选购商品,商家和用户对交易行为负责。对于医疗器械类产品,请先查证核实企业经营资质和医疗器械产品注册证情况。
文献和实验。这里介绍经典的盐桥法(又称为毛细管法)。(一)试剂准备1.变性液:0.5 M NaOH;1.5 M NaCl。2.中和液:1 M Tris-HCl(pH7.4);1.5 M NaCl;3.转移液(20× SSC): NaCl 175.3 g;柠檬酸三钠 82.2 g,NaOH 调 pH 至 7.0,加 ddH2O 至 1000 mL。(二)操作步骤1. 碱变性: 室温下将凝胶浸入数倍体积的变性液中 30 min。2. 中和: 将凝胶转移到中和液 15 min。3. 转移 按凝胶的大小剪裁 NC
,最后加入二甲酸钠缓冲液至1000ml充分混合。对苯醌与戊二醛及甲醛联合应用,即可阻止醛基对抗原的损害,又不影响超微结构的保存,故适于多种类抗原的免疫细胞化学,尤其是免疫电镜的研究。9、碳二亚酰胺-戊二醛(ECD-G)液试剂:0.05mol/L PB500ml0.01mol/L PBS500mlTris14g浓HCl 少许ECD 10g25%戊二醛3.5ml配制方法:先以约500ml的PB与相同体积的PBS混合,加入Tris(使其终浓度为1.4%)溶解,以浓HCl调pH至7.0,再将事先称取好的
药物为依地酸二钠钙(CaNa2-EDTA),每日1g,加5%葡萄糖生理盐水500ml,静脉滴注;也可0.5~1.0g,分二次加普鲁卡因肌肉注射。3~4日为一疗程,二疗程间隔3~4日,疗程视患者情况而定,轻度铅中毒一般不超过三个疗程。也可用二巯基丁二酸钠(Na-DMS)或二巯基丁二酸(DMS),或促排灵(二乙烯三胺五乙酸三钠钙,CaNa3-DTPA)驱铅。驱铅治疗中均需观察肾毒副反应。 苯中毒 编辑本段 回目录 一、理化特性 苯(benzene)属芳香
技术资料暂无技术资料 索取技术资料










