相关产品推荐更多 >
万千商家帮你免费找货
0 人在求购买到急需产品
- 详细信息
- 文献和实验
- 技术资料
- 库存:
大量
- 英文名:
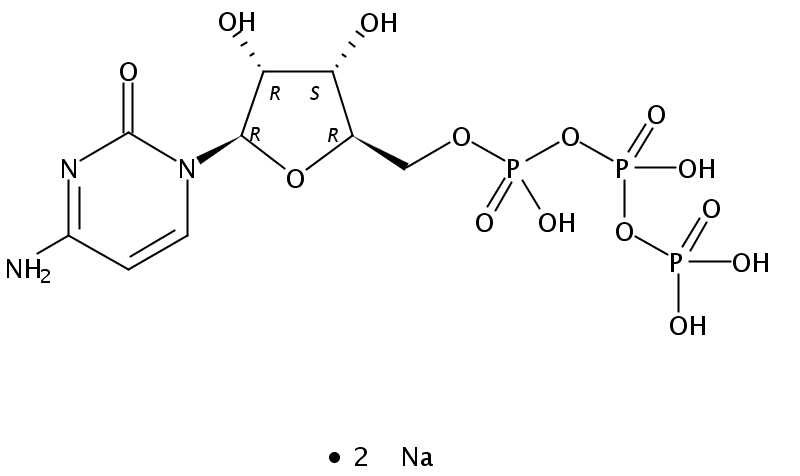
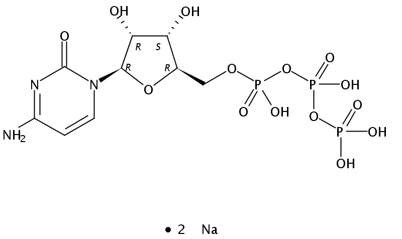
5′-CTP,2Na;Cytidine 5′-triphosphate disodium salt;CTP
- 保质期:
2年
- 供应商:
上海联迈生物工程有限公司
- 保存条件:
RT
- 规格:
瓶
| [产品编号] | LM1056Z |
| [CAS号] | 36051-68-0 |
| [规格] | 试剂级,95% |
| [包装] | 100毫克/1克/5克 |
| [到货期] | 现货 |
英文名称:5′-CTP,2Na;Cytidine 5′-triphosphate disodium salt;CTP
其他名称:5-胞嘧啶核苷三磷酸二钠盐;胞苷-5′-三磷酸二钠盐;5′-三磷酸胞苷二钠盐
CAS号:36051-68-0
C9H14N3Na2O14P3=527.12
级别:试剂级
含量:≥95.0%(HPLC)
PH:3.0~5.0
干燥失重:≤7.0%
重金属:≤10ppm
性状(以下信息仅供参考):白色或类白色结晶粉末
用途:本品仅供科研,不得用于其它用途。(以下用途仅供参考)参与核酸生物合成,在蛋白质合成中起供能作用。
保存:-20℃
风险提示:丁香通仅作为第三方平台,为商家信息发布提供平台空间。用户咨询产品时请注意保护个人信息及财产安全,合理判断,谨慎选购商品,商家和用户对交易行为负责。对于医疗器械类产品,请先查证核实企业经营资质和医疗器械产品注册证情况。
文献和实验/l NaCl - 1.5mmol/L柠檬酸三钠,pH7.0)下进行。用SSC稀释DNA溶液为50μg/ml,加10mol/l NaOH使最终浓度为0.1mol/L(pH约12.8),室温变性10min,很快置冰盐水中,用10min/l HCl或5mol/l NaH2PO4调pH到7~8[亦可用碱变性后,调至中性,再加热100。c 10min],DNA变怀可用OD260增加(约30%~40%)来检测,变性DNA醇沉淀呈雪样,完全失去纤维状沉淀。变性后加入等量冷的12×SSC,冰浴保存。
g氢氧化钠,溶于水中,再加入4g亚铁氰化钾,完全溶解后,用水稀释至1000ml,贮存于橡胶塞玻璃瓶内。 3、 乙酸锌溶液:称取21.9g乙酸锌,加3ml冰乙酸,加水溶解并稀释至100ml。 4、 10.6%亚铁氰化钾溶液。 5、 盐酸、6mol/L盐酸、20%氢氧化钠 6、 葡萄糖标准溶液:精密称取1.000g经过98~100℃干燥至恒量的纯葡萄糖,加水溶解后加入5ml盐酸,并以水稀释至1000ml。此溶液每毫升相当于1mg葡萄糖。 三
Northern杂交试验指导手册-Northern 印迹杂交
作为杂交探针浓度。在采用荧光检测或采用CSPD化学发光检测时,建议试验探针浓度50-100ng/ml,如果采用CDP-Star化学发光检测,由于灵敏度很高,在此探针浓度下会产生很高的背景,因此,要适当降低探针浓度。 B. 印迹条件 对于1%的变性琼脂糖胶向尼龙膜上印迹转膜,在10×和20×的SSC盐浓度下可以获得相同的结果,转膜时间是在4℃或室温下过夜。 C. 试剂及其配制 MOPS缓冲液(10×): 200mmol/L MOPS ( pH 7.0 ) 50
技术资料暂无技术资料 索取技术资料










